首页 > 交易信息 > 水利工程 > 招标公告

关于灌云县小伊镇花厅村土地复垦项目(F24GJ037)的公告

【信息发布时间:2024-11-15 16:50  阅读次数:】 【我要打印】 【关闭】

灌云县小伊镇花厅村土地复垦项目(F24GJ037)

招标公告

1.招标条件

本招标项目灌云县小伊镇土地复垦项目已由连自然资发【2024】193号批准建设,建设资金为财政(资金来源),已落实。招标人为灌云县小伊镇人民政府,招标代理机构为江苏伟之达项目管理咨询有限公司。项目已具备招标条件,现对灌云县小伊镇花厅村土地复垦项目(F24GJ037)进行公开招标,特诚邀有兴趣的潜在投标人参加投标。

2.项目概况与招标范围

2.1项目建设地点:江苏省连云港市灌云县小伊镇。

2.2项目概况与招标范围:土地总面积1.0629公顷,合15.9435亩,主要为土方回填、田面平整、土地耕翻、土壤改良和田埂修筑等,具体建设内容详见施工图纸及工程量清单。

2.3工期:30天。

2.4招标控制价: 725412.07元,投标人投标时不得超过招标控制价,超过此价格将否决其投标。

2.5工程质量:符合国家、省现行农田建设项目验收规定和相关规范、规定及规程要求的合格标准,并经国土部门验收合格。

3.投标人资格要求

3.1 本次招标资格条件

(1)投标人有独立订立合同的能力,具有有效的营业执照及企业基本账户《开户许可证》(或基本存款账户信息材料);

(2)投标人具有有效的水利水电工程施工总承包叁级及以上资质,且具有有效的省、部级建设主管部门颁发的安全生产许可证; 

(3)投标人自2020年1月1日(以竣工验收报告或完工验收时间为准)至今完成过类似工程(高标准农田建设项目或农田水利或灌区改造或土地整理工程或农业综合开发),合同造价55万元及以上的项目,须提供中标通知书或直接发包证明、施工合同、竣工验收(或完工验收)证明原件的彩色扫描件上传至电子投标文件中,三者缺一不可。提供的上述证明材料必须能清晰的表明类似工程的投标人名称、合同价款、时间、内容等需要明示的内容,否则不予认可。

(4)项目经理资格:

项目经理具有有效的水利水电工程专业二级注册建造师及以上资格证书;且项目经理无在建工程(采用信用承诺方式由投标人自行承诺格式详见投标人承诺书)

(一)项目经理不得同时在两个或者两个以上单位受聘或者执业;

(二)项目经理是非变更后无在建工程,或项目经理是变更后无在建工程(必须原合同工期已满且变更备案之日已满6个月),或因非承包方原因致使工程项目停工或因故不能按期开工、且已办理了项目经理解锁手续,或项目经理有在建工程,但该在建工程与本次招标的工程属于同一工程项目、同一项目批文、同一施工地点分段发包或分期施工的情况且总的工程规模在项目经理执业范围之内。

(三)在建工程是指:处于中标结果公告(直接发包的项目以网上合同备案为准)到合同约定的工程全部完成且竣工验收合格期间的工程。

(四)竣工验收证明是指由建设单位组织工程建设各方验收合格,并签署相应的单位工程质量竣工验收记录或者分部工程质量验收记录等验收文件。

(5)技术负责人具有水利工程类中级及以上技术职称

(6)三类人员安全生产考核合格证书要求:企业主要负责人、项目经理、专职安全员均应具有水利主管部门颁发的安全生产考核合格证(分别为A、B、C三类(均在有效期内);

(7)施工设备要求:满足本项目工程需要;

(8)其他要求:

1、不拖欠农民工工资书面承诺(招标文件规定的格式);

2、本工程要求投标人的授权委托代理人必须是拟任本工程的项目经理(项目经理为法定代表人不需提供法人授权委托书)。项目经理、项目技术负责人、专职安全管理人员均须提供至少近6个月(2024年5月至2024年10月)连续缴纳社保证明及有效劳动合同;如为退休人员需提供单位聘用合同及退休证明;如为事业单位提供人事证明。

投标人、法定代表人、项目经理无行贿犯罪记录:由投标人自行承诺并扫描上传。说明:无行贿犯罪承诺必须反映投标人(近三年)、法定代表人(近五年)、项目经理(近五年)无行贿犯罪记录。具体时间从招标公告发布之日起倒算。(格式详见招标文件附件)。

3、本工程招标工作遵照苏建建管【2013】508号文、苏建招函【2015】16号文、苏建规字【2017】1号、连建发【2021】338号、连建发【2021】336号文。投标人企业、法定代表人及项目负责人无行贿犯罪记录、项目负责人无在建工程、投标人无借牌挂靠行为等采用信用承诺方式由投标人自行承诺,承诺内容包括:对自身的信用状况、申请材料的真实性以及对违约责任做出书面承诺。(格式详见“投标人承诺书”)

4、本工程参照执行苏信用办【2018】23号“关于印发《关于在公共资源交易领域的招标投标活动中建立对失信被执行人联合惩戒机制的实施意见》的通知”,以“信用中国”公布的“失信惩戒”查询对象模块的信息为准。

5、执行苏建招办[2022]2号、苏建函建管[2019]233号,投标人在投标文件递交截止时间当日,建筑业企业资质动态监管结果不处于不合格状态(仅对企业某项被核查为不达标的资质进行限制,不影响该企业其他核查达标的资质参加招投标、合同备案等经营活动)。投标人的建筑业企业资质动态监管结果由招标人在投标文件递交截止时间当日登录“江苏省建筑市场监管与诚信信息一体化平台”进行查询获取。

6、 本次招标不接受联合体投标。

7、本次招标实行资格后审,资格审查的要求见招标文件。资格后审不合格的投标人投标文件将按否决投标处理。

8、本项目执行财库[2020]46号文《政府采购促进中小企业发展管理办法》,该工程只接受中小企业的投标人投标,中小企业以外的投标人投标将会被拒绝(本采购所称中小企业,是指在中华人民共和国境内依法设立,依据国务院批准的中小企业划分标准确定的中型企业、小型企业和微型企业,但与大企业的负责人为同一人,或者与大企业存在直接控股、管理关系的除外)。本项目所属行业为建筑业,项目属性为工程,并提供中小企业声明函。

3.2本项目共分划四个标段,分别为一标段灌云县小伊镇董集村土地复垦项目(F24GJ034)、二标段灌云县小伊镇千斤村土地复垦项目(F24GJ038)、三标段灌云县小伊镇花厅村土地复垦项目(F24GJ037)、四标段灌云县小伊镇祝荡村土地复垦项目(F24GJ039),符合资格条件的投标人可对上述任意一个或多个标段投标,但最多只能中1个标段。本项目开、评标按一标段至四标段顺序进行,如果投标人已在先开标的某个标段中已确定为第一中标候选人(有多个标段同一时间开标的话,按标段顺序确定第一中标候选人),在后续标段中参与评分但不再参与中标候选人推荐。

 

4.招标文件的获取

4.1获取招标文件准备

2024年11月15日至2024年11月20日(北京时间,下同)为招标文件发售期,凡有意参加投标者,请在招标文件发售期满之前完成如下工作:

4.1.1投标单位进入“连云港市公共资源交易网”, 通过CA证书登录【投标人登录】—【水利工程】,进入“交易乙方”,在“招标文件下载”中,进行所参加项目“信息录入”、“下载招标文件”,具体流程详见下载专区“投标人操作手册”;没有按规定在网上完成“信息录入”、“下载招标文件”的投标单位,其投标文件将被拒收,由此造成的不利后果由投标单位自行承担。【投标过程中遇到软件问题可联系何工:18452501766】

    4.2购买招标文件

    4.2.1完备上述准备工作后,在第4.1款规定的招标文件发售期内通过交易平台支付方式并按交易平台的规定购买招标文件。

4.2.2招标文件售价:¥:0元/标段,售后不退。

注:投标人请在报名期间内下载招标文件,如未在规定时间内下载招标文件由此产生的后果由投标人自行承担。

5.投标文件的递交

5.1投标文件(电子投标文件)递交的截止时间(投标截止时间,下同)为2024年12月6日10时00分。

5.2递交地点:投标人自行选择任意地点参加远程开标会。(本工程采用远程不见面交易模式)。

注:本工程采用远程不见面交易模式,通过不见面交易系统及相应的配套硬件设备(摄像头、话筒、麦克风等)完成远程解密、评标办法与系数抽取、开标现场异议及回复、开标唱标、等交互环节。相关 要求和说明如下:

1. 远程开标项目的时间均以国家授时中心发布的时间为准;

2. 开标当日,投标人不必抵达开标现场,仅需在任意地点通过连云港市不见面交易系统参加开标会议(连云港不见面交易系统地址:

http://218.92.36.85:8186/BidOpening/bidopeninghallaction/hall/login);

3. 投标文件递交截止时间前,招标人提前进入连云港市不见面交易系统,播放测试音频,各投标人的授权委托人(必须是项目经理)提前进入不见面交易系统,根据操作手册(请在办事指南中的“下载专区 ”中下载 ),进行签到(注 1.开标时间到了之后不能签到;2 请确保电脑带有摄像头),开标前一小时可以签到。进入相应标段的开标会议区收听观看实时音视频交互效果并及时在讨论组中反馈,未按时加入开标会议区并完成登录操作的或未能在开标会议区内全程参与交互的,视为放弃交互和放弃对开评标全过程提疑的权利,投标人将无法看到解密指令、异议回复、唱标等实时情况,并承担由此导致的一切后果;

4. 投标文件递交截止时间后,招标人将在系统内公布投标人名单并核验投标保证金递交情况,然后通过开标会议区发出投标文件解密的指令,投标人在各自地点按规定时间自行实施远程解密,投标人解密限定在发出投标文件解密的指令后30分钟内完成。因投标人网络与电源不稳定、未按操作手册要求配置软硬件、解密锁发生故障或用错、故意不在要求时限内完成解密等自身原因 ,导致投标文件在规定时间内未能解密、解密失败或解密超时,视为投标人撤销其投标文件,系统内投标文件将被退回;因网上招投标平台发生故障,导致无法按时完成投标文件解密或开、评标工作无法进行的,可根据实际情况 相应延迟解密时间或调整开、评标时间(友情提示:若投标人已领取副锁(含多把副锁)请注意正副锁的使用差别)。本项目在限定的解密时间内,只要有一家投标人解密成功,即视为网上招投标平台运行无故障。

5. 投标人拟派项目经理须全程参与招投标过程(含异议投诉)。远程交互时,项目经理须同时作为授权委托人全程参与,同时投标人参与交互的人员将一直被视为是投标人的授权委托人(项目经理),投标人自行承担弄虚作假、随意更换人员所导致的一切后果。

6. 为顺利实现本项目开评标的远程交互,建议投标人配置的硬件设施有:高配置电脑、高速稳定的网络、电源(不间断)、CA 锁、音视频设备(话筒、耳麦、高清摄像头、音响)、扫描仪、打印机、传真机、高清视频监控等;建议投标人具备的软件设施有:IE 浏览器(版本必须为 11 及 11 以上),江苏省互联互通驱动。为保证交互效果,建议投标人选择封闭安静的地点参与远程交互。因投标人自身软硬件配备不齐全或发生故障等问题而导致在交互过程中出现不稳定或中断等情况的,由投标人自身承担一切后果。

注:投标人在签到时,需填写单位名称、项目经理姓名、手机号码 (手机号码务必能打通,否则答疑联系不上,产生的所有后果由投标人自行承担)。

6.踏勘现场和投标预备会

招标人不组织勘察现场。投标人应自行对工程施工现场和周围环境进行勘察,以获得有关编制投标文件和签署合同所需的所有资料;勘察现场所发生的费用、安全风险及财产损失由投标人自己承担。潜在投标人无论考察与否,都将被视为已经对本项目的总体情况、工作难度、条件及当地的有关情况获得了解,并应认为潜在投标人已充分了解了自己中标后有可能承担的风险、责任和义务。

7.评标标准和方法

条款号

评审因素

评审标准

2.2.1

分值构成

(总分100分)

投标报价:65分

施工组织设计:30分

投标人业绩:5分

2.2.2

评标基准价计算方法

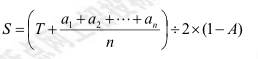
本工程采用评标基准价,评标基准价为

T为最高限价,有效标n>5时,为剔除投标人最高报价和最低报价后的各投标报价,n≤5时,无需剔除。)A为下浮系数,分别为1%、1.5%、2%,开标时由招标人的法定代表人或授权委托人(需携带授权委托书及身份证)在不见面交易系统视频直播中通过交易中心现场的摇号机随机抽取确定下浮系数。

本工程设最高限价,投标报价高于最高限价的作无效标处理。

注:除确认存在计算错误外,评标基准价不因招投标当事人质疑、投诉、复议以及其它任何情形而改变。

 

投标报价

(65分)

1、报价分(65分)

投标价(算术修正后,下同)等于评标基准价的,得65分;投标价高于评标基准价的,每上浮一个百分点扣0.3分;投标价低于评标基准价的,每下浮一个百分点扣0.1分。

中间值按比例内插计算。保留两位小数,小数点后第三位数字“四舍五入”。最低得分为零分。

2.2.3

 

 

施工组织设计

(30分)

 

(1)施工现场布置和其它临时设施设计合理(4分)。施工现场布置合理2分,有缺陷,适当扣分,最少得0分;临时设施设计合理2分,有缺陷,适当扣分,最少得0分。

(2)施工进度计划合理,工期保证措施可行(4分)。施工进度计划合理2分,有缺陷,适当扣分,最少得0分;工期保证措施可行2分,有缺陷,适当扣分,最少得0分。

(3)施工机具设备及劳动力配置合理,能满足施工强度要求(4分)。施工机具配置合理2分,有缺陷,适当扣分,最少得0分;劳动力配置合理2分,有缺陷,适当扣分,最少得0分。

(4)土地平整施工方案合理,保证措施可行(4分)。方案及措施合理可行,得4分,有缺陷,适当扣分,最少得0分。

(5)沟渠开挖施工方案合理,保证措施可行(4分)。方案及措施合理可行,得4分,有缺陷,适当扣分,最少得0分。

(6)土壤改良施工方案合理,保证措施可行(3分)。方案及措施合理可行,得3分,有缺陷,适当扣分,最少得0分。

(7)垃圾清运方案合理,保证措施可行(3分)。方案及措施合理可行,得3分,有缺陷,适当扣分,最少得0分。

(8)质量保证体系及措施(2分)。质量保证体系健全1分,有缺陷,适当扣分,最少得0分;;质量保证方案可行、措施得力1分, 有缺陷,适当扣分,最少得0分。

(9)安全保障措施、文明施工措施、环境保护措施(2分)。安全文明建设措施得力1分,有缺陷,酌情扣分,最少得0分;环境保护措施得力1分,有缺陷,酌情扣分,最少得0分。

2.2.4

投标人业绩

(5分)

1、项目经理自2020年1月1日(以竣工验收报告或完工验收时间为准)至今完成的类似工程(高标准农田建设项目或农田水利或灌区改造或土地整理工程或农业综合开发),合同造价55万元及以上的项目(在本项目中必须为项目经理),每个得3分,最高得3分,须提供中标通知书或直接发包证明、施工合同、竣工验收(或完工验收)证明原件的彩色扫描件上传至电子投标文件中,三者缺一不可。提供的上述证明材料必须能清晰的表明类似工程的投标人名称、项目经理姓名、合同价款、时间、内容等需要明示的内容,否则不予认可。

2、投标人自2020年1月1日(以竣工验收报告或完工验收时间为准)至今完成的类似工程(高标准农田建设项目或农田水利或灌区改造或土地整理工程或农业综合开发),合同造价55万元及以上的项目,每个得2分,最高得2分,须提供中标通知书或直接发包证明、施工合同、竣工验收(或完工验收)证明原件的彩色扫描件上传至电子投标文件中,三者缺一不可。提供的上述证明材料必须能清晰的表明类似工程的投标人名称、合同价款、时间、内容等需要明示的内容,否则不予认可。

注:1、投标人业绩与项目经理业绩同一业绩不重复计算,评标类似业绩与资格审查业绩同一业绩不重复计取。

2、项目经理业绩不是投标人承担的项目,不作为项目经理业绩。

注:

1.上述证明资料以原件的彩色扫描件用投标文件制作工具生成的投标文件上传为准,否则不予得分。

8.发布公告媒介

本公告在连云港市公共资源交易网(发布公告的媒介名称)发布。


9.联系方式

招标人:灌云县小伊镇人民政府  

地址: 连云港市灌云县

联系人: 汪主任

电话: 13851225552

 

招标代理机构: 江苏伟之达项目管理咨询有限公司

地    址:灌云县

联 系 人:刘工

电    话:18115991881


重要提醒:

1.本次招标要求网络上传投标文件, 不再要求投标人准备纸质文件。中标单位在领取中标通知书时需提供5份完整投标文件,其中正本一份副本四份。

2.投标截止时间前完成网上投标文件上传。

3.电子标书制作:投标人请到连云港市公共资源交易网“投标人登入”栏下载投标文件制作工具,并下载CA锁驱动、CAD控件等应用程序,用于打开招标文件并制作投标文件。

国泰新点和广联达招投标文件制作工具均已衔接连云港市公共资源交易招投标系统平台,投标人可自行选择使用。投标过程中遇到软件问题可联系相应软件公司寻求技术支持。

联系方式如下:

软件公司名称

联系人

联系电话

广联达

郑磊

13812332568

刘书丹

18651253807

 

国泰新点

黄桂松

15896100880

朱家旺

18905137238

张海南

18505182641

注:本次招标文件采用最新制作工具进行制作,投标人务必采用最新制作工具进行制作,投标单位制作投标文件时如遇投标工具中投标格式与招标文件不一致,请投标单位按照招标文件中投标格式要求编制一份投标文件资料添加在投标工具中。如因投标人未按要求执行造成的一切后果(包括废标)均由投标人自行承担。

4.连云港市电子化招投标注意事项

注意事项:如果您是第一次在连云港地区进行网络投标,请您先联系CA公司和江苏翔晟办理网络投标密码锁和企业电子签章,然后联系国泰新点软件公司进行密码锁的激活,用密码锁登录相关网站会员系统进行诚信信息库的操作。以上步骤不进行或操作不完善,可能导致无法进场交易。

因江苏CA业务已被国信CA承接,现将本市认可的2家CA信息认证机构名单公布如下:

企业名称

中国金融认证中心

江苏省国信数字科技有限公司

CA名称

CFCA

国信CA

联系人

连云港孙丽丽 18005133017

连云港耿立珍 17751872787

周梦雪15298603303

魏飞18261319191

电话

公司客服: 4001662366

客服电话:4000251010

办公地址

连云港市海州区凌州东路9号连云港市政务服务中心3号楼一楼大厅CFCA窗口

连云港市海州区凌州东路9号连云港市政务服务中心3号楼一楼[国信CA]窗口

    连云港市公共资源交易中心地址:连云港市海州区凌州东路9号连云港市政务服务中心3号楼(3号楼-公共资源交易中心一楼)。

    密码锁激活:国泰新点软件公司负责激活

 

附件:
20a5d0ad-bd79-4b19-af43-579090c136af