【信息发布时间:2021-02-09 16:59 阅读次数:】 【我要打印】 【关闭】
龙苴镇青年沟片区水系连通工程项目工程施工招标公告
1. 招标条件
本招标项目龙苴镇青年沟片区水系连通工程项目(项目名称)已由灌云县发展和改革委员会(项目审批,核准或备案机关名称)以灌发改投资[2020]291号(批文名称及编号)批准建设,建设资金来自自筹(资金来源),招标人为:灌云县龙苴镇人民政府 招标代理机构为:连云港新宏项目管理有限公司,项目已具备招标条件,现对本项目施工进行公开招标。
2. 项目概况与招标范围
2.1项目名称:龙苴镇青年沟片区水系连通工程项目工程施工;
2.2项目地点:灌云县龙苴镇;
2.3招标规模:4条河道(青年沟、南李庄西沟、南李庄北沟、胡冲洪沟)疏浚,总长5030米,新建过路涵洞8座,节制闸1座;
2.4招标控制价: 904338.00元(高于该控制价否决其投标);
2.5本工程计划工期: 90日历天;
2.6招标范围:新建涵洞及节制闸及河道疏浚工程施工,具体以工程量清单描述为准。
3. 投标人资格要求
3.1投标人具备:建设行政主管部门核发水利水电工程施工总承包叁级及以上资质及以上资质(有效期内),且具有有效的安全生产许可证;
3.2项目负责人具备:建设行政主管部门颁发水利水电专业贰级及以上注册建造师证书,同时具备建造师安全生产考核合格证(B 类);
3.3投标人的法定代表人、拟任项目负责人和专职安全管理人员必须具有有效的安全生产考核合格证书(分别为A、B、C类证);
3.4投标人拟任本工程的项目技术负责人必须具有工程类中级及以上技术职称;
3.5符合法律、法规规定的其他条件:
本工程招标工作遵照苏建建管(2013)508号文、苏建招函[2017]12号文、连建发[2018]95号。投标人及项目负责人无不良行为(应在公示期内的不良行为);投标人无借牌挂靠行为等采用信用承诺方式由投标人自行承诺(格式详见招标文件承诺书),承诺内容包括:对自身的信用状况、申请材料的真实性以及对违约责任做出承诺。
企业不良行为省内以江苏省建设工程招标网公布为准,省外以各省(含地级市,不含县级市)行业管理网站(建设主管部门及公共资源交易部门)为准(格式详见招标文件承诺书)。
本项目执行本工程执行连建发[2018]421 号、连建发【2018】95号文,本次招标对项目负责人是否有在建工程和兼职情况不作为资格审查条件和评标因素,调整为标后管理,实行承诺制(由投标人就项目负责人中标后不影响办理工程建设手续且在岗履职等事项签署承诺书),参加投标的项目负责人必项全过程参与工程建设。
本工程执行苏信用办【2018】23号“关于印发《关于在公共资源交易领域的招标投标活动中建立对失信被执行人联合惩戒机制的实施意见》的通知”,以“信用中国”公布的信息为准
3.6本工程不接受联合体投标。
4.招标文件的获取
4.1、获取时间:网上投标获取招标文件时间:2021年2 月 9 日至 2021 年2月20日,17:30前登录连云港市公共资源交易网进行投标报名成功后下载招标文件并参加投标工作,本项目不接受现场报名。下载招标文件以后可以对该标段进行投标相关操作,否则无法投标。
4.2、招标文件获取方式:投标人进入“连云港市公共资源交易网”, 通过CA证书登录【交易平台】-【综合交易】-【投标人】,进入“交易乙方”,在“招标文件下载”中,进行所参加项目“信息录入”、“下载招标文件”,具体流程详见下载专区“综合交易投标人操作手册”;招标文件下载获取开始时间:2021年 2 月 9日08时30分,截止时间:2021年 2 月20日17时30分。(提醒:请投标申请人务必在规定截止时间前缴费并下载招标文件,否则将导致投标失败!)
4.3、招标文件每套售价500元,售后不退。没有缴纳购买招标文件费用的投标人没有投标资格。
5. 投标截止时间及递交地点
5.1投标文件上传的截止时间为 :2021年3月11日10时00分
注:本工程采用不见面开标交易模式。(具体方法详见投标须知前附表中招标人补充的其他内容)特别提醒:
1、为落实省级相关部门不见面开标交易模式,本工程须在2021年3月 11日10 时 00分完成不见面开标程序。各投标单位在购买招标文件前应慎重考虑并确保在招标文件规定的时间完成投标文件。
2、为顺利实现本项目开评标的远程交互,建议投标人配置的硬件设施有:高配置电脑、高速稳 定的网络、电源(不间断)、CA 锁、音视频设备(话筒、耳麦、高清摄像头、音响)、扫描仪、打 印机、传真机、高清视频监控等;建议投标人具备的软件设施有:IE 浏览器(版本必须为 11 及 11 以上),江苏省互联互通驱动。为保证交互效果,建议投标人选择封闭安静的地点参与远程交互。 因投标人自身软硬件配备不齐全或发生故障等问题而导致在交互过程中出现不稳定或中断等情况 的,由投标人自身承担一切后果。
6、踏勘现场和投标预备会
招标人不组织踏勘现场和投标预备会,投标人可自行踏勘现场,交通工具自备,食宿自理。
7. 发布公告的媒体
本次招标公告在连云港市公共资源交易中心网上发布
8. 评标办法
本标段采用综合评估法。评分采用百分制,数据和评分的计算过程以及计算结果均保留两位小数,小数点后的第三位四舍五入,并按得分由高到低顺序推荐三名中标候选人,招标人应当确定排名第一的中标候选人为中标人。排名第一的中标候选人放弃中标、因不可抗力不能履行合同、不按照招标文件要求提交履约保证金,或者被查实存在影响中标结果的违法行为等情形,不符合中标条件的,招标人可以按照评标委员会提出的中标候选人名单排序依次确定其他中标候选人为中标人,也可以重新招标。评标委员会在推荐中标候选人时,如因投标人的评标价、综合得分相同而影响排序,原则上综合得分相同的应以评标价较低的优先,评标价相同及其它情形应由招标人的法定代表人或授权委托人(需携带授权委托书及委托代理人的身份证)通过交易中心现场的摇号机随机抽取。
1、评标办法
(一)投标报价(82分)
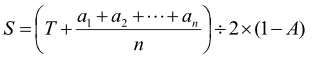
1、本工程采用复合标底,复合标底价为
T为最高限价(投标价高于最高限价作废标处理),A为下浮系数,取1%、2%、3%三者选一,值在开标时由招标人的法定代表人或授权委托人(需携带授权委托书及授权委托代理人身份证)在不见面交易系统视频直播中通过摇号机进行抽取;若有效标n>5时,
为剔除一个最高报价和一个最低报价后的各投标报价,若有效标n≤5时,无需剔除。)
评标价等于评标基准价的得满分;
评标价低于评标基准价1%,扣0.6分,
评标价高于评标基准价1%,扣0.9分;偏离不足1%的,按照插入法计算得分。
报价得分小数点保留2位,第3位四舍五入。
(二)施工组织设计(10分)
1、总体概述:施工组织总体设想、方案针对性及施工标段划分(1.0分)。
2、施工现场平面布置和临时设施、临时道路布置(1.0分)。
3、施工进度计划和各阶段进度的保证措施(1.0分)。
4、分部分项工程的施工方案及质量保证措施(1.0分)。
5、安全文明施工及环境保护措施(1.0分)。
6、项目管理班子的人员配备、素质及管理经验(1.0分)。
7、劳动力、机械设备和材料投入计划(1.0分)。
8、关键施工技术、工艺及工程项目实施的重点、难点和解决方案(1.0分)。
9、(冬)雨季施工、已有设施、管线的加固、成品保护等特殊情况下的施工措施(1.0分)。
10、新技术、新产品、新工艺、新材料应用(1.0分)。
注:投标文件的施工组织设计得分应当取所有技术标评委评分中分别去掉一个最高和最低评分后的平均值为最终得分,施工组织设计中除缺少相应内容的评审要点不得分外,其它各项评审要点得分不应低于该评审要点满分的70%。
(三)投标人业绩(4分)
2018年2月以来,投标人承担过单项工程造价60万元及以上的类似工程的施工业绩,每提供一个得2分,最高得2分。
2018年2月以来,项目负责人承担过单项工程造价60万元及以上的类似工程的施工业绩,每提供一个得2分,最高得2分。
注:业绩证明材料说明:
1、类似业绩需提供:中标通知书(或直接发包通知书)及施工合同,二者均为原件的扫描件上传投标文件中,缺一不可,否则不得分;
2、类似业绩认定:业绩金额以中标通知书为准,业绩时间以施工合同为准,类似工程业绩单项合同额为原始签约合同价(不包括补充合同及工程变更金额);
3、项目负责人业绩为所在投标单位承担的业绩;
4、投标人业绩和项目负责人业绩可以重复计。
(四)信用标准(4分)
按照2019年11月23日正式施行的《江苏省水利工程建设从业单位履约考核信用管理办法》(苏水规(2019)6号)规定,确定最新江苏省水利工程建设从业单位履约考核信用等级赋分值及水利安全生产标准化。
①投标人信用等级不低于江苏省水利厅最新评定的B级,没有履约考核结果且无不良业绩的按B级处理,获得AA级及以上得2.5分,获得A级得1.5分。
注:信用等级相关规定见:诚信江苏水利网http://jssslt.jiangsu.gov.cn/col/col42417/index.html,投标人须将信用等级查询界面截图并加盖单位公章上传投标文件中。若投标人查询不到相应信用等级,须至江苏省水利工程建设交易中心办理信用信息入库,提供网上截图加盖公章上传投标文件中,否则不得分。
②水利安全生产标准化:一级赋分值为1.5分,二级赋分值为1.0分,三级赋分值为0.5分。非本省评定的二级和三级按上述标准赋分。
注:投标人提供原件的扫描件或查询界面截图并加盖公章上传电子投标文件中。
9.联系方式
招 标 人:灌云县龙苴镇人民政府 招标代理机构:连云港新宏项目管理有限公司
地 址:江苏省灌云县 地 址:连云港市海州区朝阳东路32-6号东盛阳光大厦B座35楼3505、3506室。
邮 编:222200 邮 编:222200
联 系 人:夏站长 联 系 人:于工
电 话:15061396266 电 话:0518-81162007
传 真: 传 真:
电子邮件: 电子邮件:
10、其他要求:
1、如果您是第一次在连云港地区进行网络投标,请您先联系CFCA或国信CA办理网络投标密码锁和企业电子签章,然后联系国泰新点软件公司进行密码锁的激活,用密码锁登陆相关网站会员系统进行操作,以上步骤不进行或操作不完善,可能导致无法进场交易。
CA公司联系方式:
|
企业名称 |
中国金融认证中心 |
江苏省国信数字科技有限公司 |
|
CA名称 |
CFCA |
国信CA |
|
联系人 |
孙丽丽18005133017(微信同号) 耿立珍 17751872787(微信同号) |
周梦雪15298603303 魏飞18261319191 |
|
电话 |
4001662366 |
客服电话:4000251010 |
|
办公地址 |
连云港市海州区凌州东路9号政务服务中心3号楼一楼大厅CFCA窗口 |
连云港市海州区凌州东路9号政务服务中心3号楼一楼[国信CA]窗口 |
2、本次招标要求网络上传投标文件, 不再要求投标人准备纸质文件,中标后提供壹正肆副,共伍份书面投标文件给招标代理机构(投标文件包括商务标、技术标及资格审查资料)。
3、电子标书制作:投标人请到连云港市公共资源交易网“交易平台”-“综合交易”栏目下载投标工 具等应用程序,用于打开招标文件并制作投标文件。投标过程中遇到软件问题可联系相应软件公司寻求技术支持。联系方式如 下:
|
公司名称 |
联系人 |
联系电话 |
|
国泰新点 |
客服技术支持 |
400-998-0000 |
|
连云港本地技术支持 黄 工 |
0518-85861319 QQ:2869799868 15896100880(造价) |
注:本次招标文件采用最新制作工具进行制作,投标人务必采用最新制作工具进行制作,投标单位制作投标文件时如遇投标工具中投标格式与招标文件不一致,请投标单位按照招标文件中投标格式要求编制一份投标文件资料添加在投标工具的【投标其他文件】中。如因投标人未按要求执行造成的一切后果(包括废标)均由投标人自行承担。