首页 > 交易信息 > 其他行业 > 招标公告

[招标公告]关于东海县2021年大中型水库移民后期扶持基金项目施工2标招标公告

【信息发布时间:2021-04-26 18:09  阅读次数:】 【我要打印】 【关闭】

东海县2021年大中型水库移民后期扶持基金项目施工2标

招标公告

标段编号:320722-ZHJY-DHYMJJ2021SG02

一、招标条件

东海县2021年大中型水库移民后期扶持基金项目(东海HF2021-01、05、06)三个单项工程已经主管部门批准建设,资金已落实。招标人为东海县水库移民后期扶持结余资金项目建设管理处。现上述三个单项工程作为一个标段进行公开招标。

二、项目概况与招标范围

1、东海县2021年大中型水库移民后期扶持基金项目施工2标包含三个分项工程(东海HF2021-01、05、06),具体建设内容东海HF2021-01包括:新建钢筋砼框架结构标准厂房、消防配套设施、新建道路及附属配套等工程; 东海HF2021-05包括:新建砼道路、排水工程、河道清淤、铺设人行横道、外墙出新、新改建交通桥、路灯工程、绿化工程、配套景观文化及村庄入口标识等工程; 东海HF2021-06包括:饮水老旧管网和老旧水表井提升改造等工程。

2、计划工期:150日历天。具体开工时间以开工通知为准。

3、施工质量要求:符合合格标准。

4、本次施工招标为1个标段,招标内容为东海县2021年大中型水库移民后期扶持基金项目施工2标的施工,包括施工图纸和招标工程量清单涵盖的全部实施内容。  

三、投标人资格要求

1、投标人须持有有效的营业执照;

2、投标申请人资质等级:投标人具有水利水电工程施工总承包三级及以上资质;且具有建设行政主管部门颁发的安全生产许可证(在有效期内);

3、拟任项目经理资质等级:须具备水利水电专业注册建造师二级及以上资格;

4、技术负责人须具备水利工程中级及以上职称证书;

5、投标人主要负责人(A类)、拟任项目经理(B类)、拟任专职安全员(C类)具备行政主管部门颁发的安全生产考核合格证书(均在有效期内);

6、提供拟投入本工程的项目负责人(项目经理)和技术负责人必须为本单位正式职工,提供劳动合同(有效期内),同时提供2020年10月1日以来连续不少于6个月由社保机构出具的社保缴纳证明(加盖社保中心章或社保中心参保缴费证明电子专用章)等证明材料;

7、目前不得被全国企业信用信息公示系统中列入严重违法失信企业名单;不得被最高人民法院在“信用中国”网站(www.creditchina.gov.cn)或各级信用信息共享平台中列入失信被执行人名单;

8、本项目不接受联合体投标,资格审查采用资格后审形式。

四、招标文件的获取

1、招标文件获取时间:2021年4月26日至2021年4月30日。

2、投标单位进入“连云港市公共资源交易网”, 通过CA证书登录【投标人登录】—【综合交易】,进入“交易乙方”,在“招标文件下载”中,进行所参加项目“信息录入”、“下载招标文件”,具体流程详见下载专区“投标人操作手册”;没有按规定在网上完成“信息录入”、“下载招标文件”投标单位,其投标文件将被拒收,由此造成的不利后果由投标单位自行承担。【操作系统具体事项联系技术服务电话:4009980000;张工18505182641】

3、本项目招标文件售价600元人民币,售后不退,提醒:请投标申请人务必在规定截止时间内获取招标文件,否则将导致投标失败。

    4、如果您是第一次在连云港地区进行网络投标,请您先联系江苏CA公司办理网络投标密码锁和企业电子签章,然后联系国泰新点软件公司进行密码锁的激活,用密码锁登陆连云港市公共资源交易网站会员系统进行诚信信息库的操作,以上步骤不进行或操作不完善,可能导致无法进场交易。

连云港市公共资源交易中心地址:连云港市海州区凌洲东路9号政务服务中心(3号楼-公共资源交易中心)

江苏CA(连云港办事点):连云港市海州区凌洲东路9号政务中心3号楼一楼CA证书窗口。

密码锁激活:市区国有项目(国泰新点软件公司负责激活)

登录网站:连云港市公共资源交易网

江苏CA 总部(南京) 025-96010     连云港 孙莉莉 18005133017

五、投标文件的递交

1、投标文件递交的截止时间(开标时间):2021年5月18日上午9:00时。

地点:东海县公共资源交易中心五楼开标室(东海县晶都大道政务服务中心南五楼)。

2、逾期送达的或者未送达指定地点的投标文件,招标人不予接受。

六、评标办法

序号

评审因素

评审标准

1

分值构成

(总分100分)

投 标 报 价:               60分

施工组织设计:               30分

投标人信誉及业绩:            5分

项目经理答辩:                5分

2

投标报价

(60分)

1、报价书内容审查:

①检查有无缺项,分析其属漏项还是未响应招标文件;

②修正计算错误(包括单价、合价、合计、大写、小写等)。

根据招标文件规定,如果投标人不接受修正、调整后的报价,则其投标将被拒绝。(以下评分所称报价,均为修正价)

2、报价分(60分)

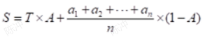
本工程采用评标基准价,评标基准价为

T为最高限价,A为业主招标控制价权重系数,取(0.5、0.55、0.6)三者选一,由投标人代表现场随即抽取确认(剔除无效标,若有效标多于10家,去除经算术修正后的最高和最低报价各二个;多于5家且少于或等于10家,去除最高和最低报价各一个;少于或等于5家全部参与计算)。

投标价(算术修正后,下同):在评标基准价98%-100%(含98%、100%)之间得60分,并以此为基数,进行下面各项的打分;

高于100%的,在60分的基础上每高1个百分点扣0.5分。

低于98%的,在60分的基础上每低1个百分点扣0.3分。

中间按内插计算。保留小数点后2位数字,小数点后第三位数字“四舍五入”。

最低得分为零分。

说明:上述报价与评标基准价的比较值,“之间”均含本数,“以下或以上”不含本数。不足1%的按插入法计算。

 

3

施工组织设计

(30分)

1、临时设施设计、工场布置合理得2.0分,有缺陷,酌情扣分,最少得0分;本项最高得分为2.0分。

2、.新建钢筋砼框架结构标准厂房施工方案合理、质量有保证得4.0分,有缺陷,酌情扣分,最少得0分;消防设施配套施工方案合理、质量有保证得1.0分,有缺陷,酌情扣分,最少得0分;本项最高得分为5.0分。

3、新建交通桥和改建交通桥施工方案合理、质量有保证得1.0分,有缺陷,酌情扣分,最少得0分;排水管清淤及铺设、铺设道板砖人行道施工方案合理、质量有保证得1.0分,有缺陷,酌情扣分,最少得0分;本项最高得分为2.0分。

4、新建砼道路施工方案合理、质量有保证得2.0分,有缺陷,酌情扣分,最少得0分;村庄外墙出新、文化标识等铺装施工方案合理、质量有保证得1.0分,有缺陷,酌情扣分,最少得0分;本项最高得分为3.0分。

5、太阳能路灯采购及安装施工方案合理、质量有保证得1.0分,有缺陷,酌情扣分,最少得0分;本项最高得分为1.0分。

6、老旧管网和老旧水表井提升改造施工方案合理、质量有保证得4.0分,有缺陷,酌情扣分,最少得0分;本项最高得分为4.0分。

7、配套景观土建及安装施工方案合理、质量有保证得2.0分,有缺陷,酌情扣分,最少得0分;本项最高得分为2.0分。

8、质量保证体系健全得1.0分,有缺陷,酌情扣分,最少得0分;质量保证方案可行、措施针对性强得2.0分,有缺陷,酌情扣分,最少得0分;本项最高得分为3.0分。

9、施工进度计划合理得1.0分,有缺陷,酌情扣分,最少得0分。工期保证措施可行得1.0分,有缺陷,酌情扣分,最少得0分;本项最高得分为2.0分。

10、施工机具配置合理得1.0分,有缺陷,酌情扣分,最少得0分;劳动力配置合理得1.0分,有缺陷,酌情扣分,最少得0分;本项最高得分为2.0分。

11、专业技术人员配备齐全得2.0分,有缺陷,酌情扣分,最少得0分。本项最高得分为2.0分。

12、文明工地措施可行有保证得0.5分,有缺陷,适当扣分,最少得0分;安全生产措施可行有保证得1.0分,有缺陷,适当扣分,最少得0分;环境保护可行有保证得0.5分。有缺陷,适当扣分,最少得0分;本项最高得分为2.0分。

4

投标人业绩及信誉(5分)

1、有银行出具的有效对账单(不低于500万元)及有投标企业出具用于本工程不低于500万流动资金的承诺(格式自拟)得2.0分,两者同时具备得2.0分,否则不得分。(附自报名结束日起至开标前一工作日的任意一天单位基本账户的银行对账单余额不得低于500万元,开标时须提供原件,没有提供原件及原件达不到要求的不得分)。

2、投标人近3年内(2018年1月1日至今)承担过合同额1200万元及以上类似(水库移民)业绩的,有一个得1.5分。最多得3分;

注:须同时提供中标通知书、合同协议书、合同完工验收鉴定书或竣工验收鉴定书证明资料扫描件并提供相应的证明原件,否则不得分。

5

项目经理答辩

(5分)

根据项目经理现场陈述与回答问题赋分:陈述与答辩题目由评标委员会现场出。回答问题针对性强,得4~5分;回答问题针对性较强得3~4分;回答问题针对性一般得2~3分;回答问题针对性较差得0~2分。

注:以上评分细则每项打分均以投标人提供相关证明材料原件为依据,复印件需装订在投标文件中,否则不予赋分。

七、发布公告的媒介

本次招标公告在连云港市公共资源交易中心网发布。

八、联系方式

招 标 人:东海县水库移民后期扶持结余资金项目建设管理处

地 址:东海县牛山街道幸福南路16号

联 系 人:朱主任

联系电话:0518-87785569        

招标代理人:江苏铭沃工程咨询有限公司

地 址:东海县幸福北路166号

联 系 人:尹娟  

联系电话:13675211234

附件:
8242c0c7-999c-40e8-9861-899927a40551