【信息发布时间:2021-04-29 11:16 阅读次数:】 【我要打印】 【关闭】
2021年度海州区高标准农田建设项目已经连云港市农业农村局以连农复〔2021〕21 号文批准建设,建设资金已落实。项目已具备招标条件,现对该项目2021年度海州区板浦镇东辛片周圩高标准农田建设项目施工进行公开招标,招标人为连云港市海州区板浦镇人民政府,招标代理机构为江苏宏润建设项目管理咨询有限公司。
2021年度海州区高标准农田建设项目实施地点位于连云港市海州区,共涉及2020年度海州区板浦镇罗圩片高标准农田建设项目、2021年度海州区板浦镇东辛片周圩高标准农田建设项目、2021年度海州区板浦镇东辛片浦东高标准农田建设项目、2021年度海州区宁海街道高标准农田建设项目共4个标段。
2021 年度连云港市海州区板浦镇东辛片高标准农田建设项目(财政补助),拟申报项目区位于海州区板浦镇的东部,规划建设面积 1.7 万亩,项目区涉及东辛、周圩、泗河、沙沪、浦东、大团、小浦 7 个行政村,总人口 16572 人,劳动力 6608 人,项目区上年农民人均纯收入 12055 元。项目区分为东西两片,西片北至埃字河,南至善后河,西至云善河,东至泗河中心沟;东片北至埃字河,南至云善河,东至埃字河,西至 2020 年板浦镇周圩片项目区。项目区总土地面积为 2.5 万亩,其中耕地面积为 1.7 万亩。
本次招标为2021年度海州区板浦镇东辛片周圩高标准农田建设项目施工,工程总投资额约 1475.34 万,具体详见招标文件及工程量清单,主要建设内容如下。
建设泵站共4 座,小沟疏浚共 1.8km,衬砌矩形渠道15.792km,新建渠道节制闸共 46 座,新建渡槽共 4 座,建设农桥共 1座,建设渠桥共52 座,新建涵洞共 107座,新建放水口共302座东辛五组片(管灌0.034万亩),新建水泥路(有路基)(B=3.5m,H=18cm)共 5.183 km,土地平整0.02万亩。
具体工程量详见招标文件及图纸,本项目实施地点为海州区板浦镇东辛片周圩,涉及周圩、泗河、沙沪村。
符合资格条件的投标人可对2021年度海州区高标准农田建设项目一个或多个标段进行投标报名,但最多只能中一个标段。
本工程的开评标顺序按1、板浦镇(罗圩片);2、板浦镇(东辛片周圩);3、板浦镇(东辛片浦东);4、宁海街道进行开评标。
如果投标人已在先评的某个标段中已确定为第一中标候选人,在后续标段中参与评分但不再参与中标候选人推荐;若第一中标候选人被投诉,经查实取消中标资格,本标段做流标处理,重新招标。
工期:具体开工时间以监理工程师签发的开工令为准,签发开工令后150天内完成全部合同建设内容。
质量标准:达到相关规范要求的合格标准。
3.1投标人须具有水利水电工程施工总承包叁级及以上资质,具有省、部级建设行政主管部门颁发的安全生产许可证的企业法人、企业基本户开户许可证或者企业基本存款账户信息证明;
3.2投标人拟任本项目的负责人须具备水利水电工程专业二级及以上(含二级)注册建造师资格;
3.3投标人拟任本项目的技术负责人须具有工程类专业中级及以上职称;
3.4投标人法定代表人(A类)、拟任项目经理(B类)、拟任专职安全员(C类)具有有效的行政主管部门颁发的安全生产考核证书;
3.5拟投入本工程的项目负责人(项目经理)、技术负责人及专职安全员必须为本单位正式职工,提供劳动合同(有效期内)同时提供2020年10月至2021年3月连续6个月及以上(在本单位缴纳)由社保机构出具的社保缴纳证明(加盖社保中心章或社保中心参保缴费证明电子专用章)等证明材料;
3.6本工程执行连建发(2019)182号文:投标企业参加建设工程投标前,应自觉、主动查验本企业资质动态监管情况,核查结果不合格的,不得参加投标。若投标有效期内企业资质核查不合格,招标人将取消其中标资格,并重新确定中标人。对于弄虚作假的企业,将按规定记录失信行为,并取消其投标、中标资格,不予退还投标保证金。
3.7投标人承诺书(详见招标文件第八章投标文件格式8.1、8.2、8.3、8.4、8.5等承诺,详见格式)。
3.8本次招标不接受联合体投标。
3.9其他要求:
3.9.1招标人谢绝挂靠单位参与本工程的投标。如在招投标过程中发现挂靠单位投标并中标的,将取消其中标资格,没收投标保证金;如发现挂靠单位报名,将取消其投标资格。
3.9.2投标企业整个招投标活动所提交的所有材料都必须是真实有效的,一旦发现有虚假行为,招标人将立即中止该投标人的投标活动,并上报相关主管部门追究责任。
1、招标文件获取时间为:2021年 4 月 29 日至2021年 5 月 10 日;
2、获取方式:投标单位进入“连云港市公共资源交易网”, 通过CA证书登录【交易平台】—【综合交易】—【投标人】,进入“交易乙方”,在“招标文件下载”中,进行所参加项目“信息录入”、“下载招标文件”,具体流程详见下载专区“综合交易投标人操作手册”;没有按规定在网上完成“信息录入”、“下载招标文件”投标单位,其投标文件将被拒收,由此造成的不利后果由投标单位自行承担。【操作系统具体事项联系技术服务电话:4009980000;张工18505182641】;
3、本项目招标文件售价:600元人民币,售后不退,请在招标文件下载截止时间前下载文件。(提醒:请投标申请人务必在规定截止时间前获取招标文件,否则将导致投标失败!)
4、如果您是第一次在连云港地区进行网络投标,请您先联系江苏CA公司办理网络投标密码锁和企业电子签章,然后联系国泰新点软件公司进行密码锁的激活,用密码锁登陆连云港市公共资源交易网站会员系统进行诚信信息库的操作,以上步骤不进行或操作不完善,可能导致无法进场交易。
5.1 投标截止时间为:2021 年 5 月 18 日 10 时 00 分。
5.2递交地点:投标人自行选择任意地点参加远程开标会。(本工程采用远程不见面交易模式)。
注:1、投标人开标前完成网上投标文件上传,本项目采用不见面方式开标。
2、电子标书制作:投标人请到连云港市公共资源交易平台综合交易新投标人处下载投标文件制作工具,用于打开招标文件并制作投标文件。
3、为落实省级相关部门不见面开标交易模式,本项目须在2021年 5 月 18 日10点00分完成不见面开标程序。各投标单位在报名前应慎重考虑并确保在招标文件规定的时间完成投标文件。
4、为顺利实现本项目开评标的远程交互,建议投标人配置的硬件设施有:高配置电脑、高速稳定的网络、电源(不间断)、CA锁、音视频设备(话筒、耳麦、高清摄像头、音响)、扫描仪、打印机、传真机、高清视频监控等;建议投标人具备的软件设施有:IE浏览器(版本必须为11及11以上),江苏省互联互通驱动。为保证交互效果,建议投标人选择封闭安静的地点参与远程交互。因投标人自身软硬件配备不齐全或发生故障等问题而导致在交互过程中出现不稳定或中断等情况的,由投标人自身承担一切后果。
1、评标入围方法:
1.1、评标入围合格条件
投标文件存在下列情况之一的,不再进行后续评标:
(1)至投标截止时间止,未足额递交投标保证金;
(2)投标函中载明的招标项目完成期限超过招标文件规定的期限;
(3)投标函中载明的投标质量标准未响应招标文件的实质性要求和条件;
(4)投标函中载明的投标报价高于招标控制价。
开标后初步评审前,由评标委员会根据招标文件载明的评标入围合格条件,确定进入后续评标或评标入围的投标文件。
1.2、评标入围方法:全部入围法
2、评标方法
本次招标采用合理低价法,仅以投标报价作为评审因素。评分计算过程中的偏离率和分值计算结果均保留3位小数,小数点后第四位数字“四舍五入”。投标人的投标文件能够满足招标文件的实质性要求,评标委员会在有效投标中按照评标价得分由高到低的顺序,向招标人推荐1至3名中标候选人,并标明排序。评标委员会在推荐中标候选人时,如因投标人的评标价、综合得分相同而影响排序,原则上综合得分相同的应以评标价较低的优先,评标价相同及其它情形应以招标人的法定代表人或授权委托人出席(需携带授权委托书原件及身份证原件)通过交易中心现场的摇号机随机抽取确认排序。
投标报价评审,评分方法如下:
商务标实行评分制,得分最高的投标人为第一中标候选人。经评审的投标报价得分采用百分制,即满分为100分。
(1)评标价每高于基准价1%的,扣减0.9分,不足1%的,按照插入法计算;
(2)评标价每低于基准价1%的,扣减0.6分,不足1%的,按照插入法计算。
评标基准价的计算:
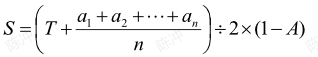
本工程评标基准价为
T为每个标段最高限价(投标价高于最高限价作废标处理),A为下浮系数,取1.0%、1.5%、2.0%三者选一,由招标人的法定代表人或授权委托人出席(需携带授权委托书原件及身份证原件)通过交易中心现场的摇号机随机抽取确认;n为有效标数量,当有效标n>10时,
为去掉评标价最高5%(四舍五入取整 ,末位评标价相同的均去掉)和评标价最低5%(四舍五入取整 ,末位评标价相同的均保留)后的各投标单位评标价,有效标n≤10时,无需剔除。)
说明:有效投标文件是指未被评标委员会判定为无效标的投标文件。评标价指经澄清、补正和修正算术计算错误的投标报价。除确认计算存在错误外,评标基准价不因招投标当事人质疑、投诉、复议以及其它任何情形而改变。
3、报价的平衡性、合理性
若投标人的主要分组投标价超出最高限价相应分组价(±10%)(其中砼道路报价只能下浮,不能上浮,若发现上浮,作废标处理),其他每发现一项,在报价得分的基础上扣1.0分;发现二项,在报价得分的基础上扣2.0分;以此类推。
本次招标公告同时在连云港市公共资源交易中心网上发布。
招标人:连云港市海州区板浦镇人民政府
联系人:梁工 联系电话:13961350233
招标代理机构:江苏宏润建设项目管理咨询有限公司
地 址:连云港市海州区朝阳东路30号312
联 系 人:陈工 电 话:0518-85262399
2021年 4 月 29 日
特别提醒:1、如果您是第一次在连云港地区进行网络投标,请您先联系CA公司和江苏翔晟办理网络投标密码锁和企业电子签章,以上步骤不进行或操作不完善,可能导致无法购买招标文件。
2、CA数字证书、江苏翔晟(连云港办事点):连云港市海州区凌州东路9号连云港市政务服务中心3号楼一楼大厅CA签章窗口。
3、投标过程中遇到软件问题可联系相应软件公司寻求技术支持。
支持电话:400-998-0000,连云港本地技术支持电话:0518-85861319,黄工:15896100880(造价)
CA公司联系方式:
|
企业名称 |
中国金融认证中心 |
江苏省国信数字科技有限公司 |
|
CA名称 |
CFCA |
国信CA |
|
联系人 |
连云港孙丽丽 18005133017 连云港耿立珍 17751872787 |
周梦雪15298603303 魏飞18261319191 |
|
电话 |
公司客服: 4001662366 |
客服电话:4000251010 |
|
办公地址 |
连云港市海州区凌州东路9号政务服务中心3号楼一楼大厅CFCA窗口 |
连云港市海州区凌州东路9号政务服务中心3号楼一楼[国信CA]窗口 |