首页 > 交易信息 > 其他行业 > 招标公告

[招标公告]2021年灌南县高标准农田建设项目施工十五标段(新集镇菊花村)

【信息发布时间:2021-07-08 15:16  阅读次数:】 【我要打印】 【关闭】

2021年灌南县高标准农田建设项目施工十五标段(新集镇菊花村)

招标公告

一、招标条件

本招标项目2021年灌南县高标准农田建设项目已由江苏省农业农村厅以苏农复〔2021〕15 号文;批准建设,建设资金已落实。招标人为灌南县农业农村局,招标代理机构为江苏万达工程造价事务所有限公司。项目已具备招标条件,现对2021年灌南县高标准农田建设项目施工一、二、三、四、五、六、七、八、九、十、十一、十二、十三、十四、十五、十六标段进行公开招标。

二、项目概况与招标范围

本次招标项目名称为:2021年灌南县高标准农田建设项目施工标,共分十六个标段,其中:

(一)2021年度灌南县高标准农田建设项目施工标(中央预算)共分为六个标段:

1、2021年灌南县高标准农田建设项目施工一标段(三口镇张湾村)

2、2021年灌南县高标准农田建设项目施工二标段(三口镇何庄村)

3、2021年灌南县高标准农田建设项目施工三标段(孟兴庄镇大封村)

4、2021年灌南县高标准农田建设项目施工四标段(孟兴庄镇韩李村)

5、2021年灌南县高标准农田建设项目施工五标段(汤沟镇葛集村)

6、2021年灌南县高标准农田建设项目施工六标段(汤沟镇沟东、大同村)

(二)2021年度灌南县高标准农田建设项目施工(财政补助)共分为十个标段:

1、2021年灌南县高标准农田建设项目施工七标段(新安镇公兴村、镇西村)

2、2021年灌南县高标准农田建设项目施工八标段(新安镇硕项村)

3、2021年灌南县高标准农田建设项目施工九标段(新安镇尹湖村)

4、2021年灌南县高标准农田建设项目施工十标段(张店镇龙兴村、张店社区居委会)

5、2021年灌南县高标准农田建设项目施工十一标段(张店镇小圈村)

6、2021年灌南县高标准农田建设项目施工十二标段(张店镇腰庄村)

7、2021年灌南县高标准农田建设项目施工十三标段(三口镇大港村)

8、2021年灌南县高标准农田建设项目施工十四标段(三口镇后河村)

9、2021年灌南县高标准农田建设项目施工十五标段(新集镇菊花村)

10、2021年灌南县高标准农田建设项目施工十六标段(新集镇徐老庄)

符合资格条件的投标人可对上述任意一个或多个标段进行投标报名,但最多只能中1个标段。本项目评标按一标段至十六标段的顺序进行,如果投标人已在先评的某个标段中已确定为第一中标候选人,在后续标段中将不再参与中标候选人推荐。若第一中标候选人被投诉,经查实取消中标资格,则本标段作流标处理,重新招标。

(三)2021年灌南县高标准农田建设项目十六个标段的建设内容如下:

1、2021年灌南县高标准农田建设项目施工一标段(三口镇张湾村)主要建设内容为:拆建张湾转盘北站(1座)、拆建张湾转盘南站(1座)、新建何荡东站(1座)、小沟疏浚(1.26km)、斗渠新建(B=1.95m,b=0.6m,h=1.05m,0.57km)、斗渠拆建(B=1.95m,b=0.6m,h=1.05m,0.87km)、斗渠(B=1.2m,H=1.2m,0.78km)、农渠新建(B=1.5m,b=0.45m,h=0.85m,3.06km)、农渠拆建(B=1.5m,b=0.45m,h=0.85m,1.95km)、农渠新建(B=1.3m,b=0.45m,h=0.85m,0.58km)、农渠拆建(B=1.3m,b=0.45m,h=0.85m,2.45km)、农桥(2*6m*4.7m,L=15.48m,1座)、斗渠1渠桥(2.73m*4.5m,3座)、斗渠2渠桥(1.84m*4.5m,2座)、农渠1渠桥(2.28m*4.5m,6座)、农渠2渠桥(2.08m*4.5m,8座)、斗渠节制闸(B=1.0m,h=1.05m,2座)、分水池(2*2m,h=1.6m,1座)、路涵(φ100*6m,1座)、路涵(φ80*6m,1座)、斗门(φ80*6m,6座)、农门(φ60*6m,14座)、渡槽拆建(4*10m,B=1.0m,L=46m,U型,1座)、渡槽拆建(3*10m,B=0.8m,L=36m,U型,1座)、渡槽拆建(2*6.4m,B=0.8m,L=18.8m,U型,1座)、渡槽拆建(1*8m,B=0.8m,L=14m,U型,1座)、放水口(φ30*4m,80座)、放水口(φ30*1m,40座)、水泥路(宽3.5m,厚18cm,2.5km)、水泥路(宽3.0m,厚18cm,3.0km)、会车平台(每处36平方,10处)、交叉路口(每处21.6平方,3处)、防护林(胸径6cm,1200株)、农开标志石,具体施工内容详见工程量清单及图纸。

2、2021年灌南县高标准农田建设项目施工二标段(三口镇何庄村)主要建设内容为:新建小叶圩灌溉站(1座) 、小沟疏浚(4.53km) 斗渠新建(B=1.95m,b=0.6m,h=1.05m,0.57km)、斗渠拆建(B=1.95m,b=0.6m,h=1.05m,0.55km)、农渠新建(B=1.5m,b=0.45m,h=0.85m,0.78km)、农渠新建(B=1.3m,b=0.45m,h=0.85m,1.41km)、农渠拆建(B=1.3m,b=0.45m,h=0.85m,2.26km)、农桥(2*6m*4.7m,L=15.48m,2座)、斗渠1渠桥(2.73m*4.5m,12座)、斗渠2渠桥(1.84m*4.5m,6座)、农渠1渠桥(2.28m*4.5m,29座)、农渠2渠桥(2.08m*4.5m,37座)、斗渠节制闸(B=1.0m,h=1.05m,8座)、分水池(2*2m,h=1.6m,3座)、路涵(φ100*6m,5座)、路涵(φ80*6m,17座)、斗门(φ80*6m,14座)、农门(φ60*6m,31座)、渡槽拆建(2*6.4m,B=0.8m,L=18.8m,U型,2座)、渡槽拆建(1*8m,B=0.8m,L=14m,U型,1座)、放水口(φ30*4m,200座)、放水口(φ30*1m,91座)、水泥路(宽3.5m,厚18cm,3.63km)、水泥路(宽3.0m,厚18cm,4.88km)、会车平台(每处36平方,45处)、交叉路口(每处21.6平方,9处)、防护林(胸径6cm,3800株)、农开标志石(1项),具体施工内容详见工程量清单及图纸。

3、2021年灌南县高标准农田建设项目施工三标段(孟兴庄镇大封村)主要建设内容为:拆建王马东站(1座)、拆建大封北站(1座)、拆建大丰南站(1座)、拆建封圩泵站(1座)、大沟疏浚(b1=12m,b2=3m,h=3m,0.38km)、中沟疏浚(b1=7m,b2=1m,h=2m,0.27km)、斗渠新建(B=1.95m,b=0.6m,h=1.05m,0.87km)、斗渠拆建(b1=1.7m,b2=0.5m,h=0.95m,0.87km)、农渠拆建(B=1.5m,b=0.45m,h=0.85m,0.6km)、农渠新建(B=1.3m,b=0.45m,h=0.85m,2.31km)、农渠拆建(B=1.3m,b=0.45m,h=0.85m,1.09km)、农桥(1*6m*4.7m,L=9.5m,1座) 、斗渠1渠桥(2.73m*4.5m,7座)、斗渠2渠桥(2.48m*4.5m,14座)、农渠1渠桥(2.28m*4.5m,3座)、农渠2渠桥(2.08m*4.5m,35座)、路涵(φ100*6m,4座)、路涵(φ80*6m,10座)、斗门(φ80*6m,8座)、农门(φ60*6m,17座)、渡槽新建(2*6.4m,B=0.8m,L=18.8m,U型,2座) 、放水口(φ30*4m,132座)、放水口(φ30*1m,60座)、水泥路(宽3.0m,厚18cm,4.21km)、会车平台(每处36平方,20处)、交叉路口(每处21.6平方,3处)、防护林(胸径6cm,1800株)、农开标志石(1项),具体施工内容详见工程量清单及图纸。

4、2021年灌南县高标准农田建设项目施工四标段(孟兴庄镇韩李村)主要建设内容为:改造韩李西站单机组(1座)、大沟疏浚(b1=12m,b2=3m,h=3m,0.6km)、中沟疏浚(b1=7m,b2=1m,h=2m,0.1km)、斗渠新建(B=1.95m,b=0.6m,h=1.05m,1.53km)、斗渠拆建(b1=1.7m,b2=0.5m,h=0.95m,2.51km)、农渠新建(B=1.3m,b=0.45m,h=0.85m,3.64km)、农渠拆建(B=1.3m,b=0.45m,h=0.85m,0.1km)、农桥(2*6m*5.7m,L=15.48m,2座)、斗渠1渠桥(2.73m*4.5m,3座)、斗渠2渠桥(2.48m*4.5m,6座)、农渠1渠桥(2.28m*4.5m,3座)、农渠2渠桥(2.08m*4.5m,15座)、路涵(φ100*6m,1座)、路涵(φ80*6m,2座)、斗门(φ80*6m,3座)、农门(φ60*6m,8座)、渡槽新建(2*6.4m,B=0.8m,L=18.8m,U型,4座)、放水口(φ30*4m,50座)、放水口(φ30*1m,20座)、水泥路(宽3.0m,厚18cm,3.28km)、会车平台(每处36平方,10处)、交叉路口(每处21.6平方,1处)、防护林(胸径6cm,1000株)、农开标志石(1项),具体施工内容详见工程量清单及图纸。

5、2021年灌南县高标准农田建设项目施工五标段(汤沟镇葛集村)主要建设内容为:拆建葛集南站(1座)、中沟疏浚(b1=9-15m,b2=2-5.5m,h=3-3.5m,1.16km)、小沟疏浚(b1=6m,b2=1.2m,h=1.6m,1.06km)、坑塘回填(4500m3)、斗渠拆建(b1=1.7m,b2=0.5m,h=0.95m,0.5km)、斗渠(B=1.2m,H=1.2m,0.55km)、农渠新建(B=1.5m,b=0.45m,h=0.85m,1.68km)、农渠新建(B=1.3m,b=0.45m,h=0.85m,0.18km)、农桥(2*6m*4.7m,L=15.48m,1座)、斗渠渠桥(口宽1.7m,L=2.32m,B=4.5m,10座)、农渠1渠桥(口宽1.5m,L=2.12m,B=4.5m,10座)、农渠2渠桥(口宽1.3m,L=1.92m,B=4.5m,10座)、斗渠1节制闸(B=0.8m,h=0.95m,2座)、涵洞1(φ80*6m,2座)、涵洞2(φ80*6m,带闸,2座)、涵洞3(φ100*6m,2座)、涵洞4(φ100*18m,1座)、涵洞6(φ100*6m,带闸,1座)、涵洞8(φ120*6m,1座)、农门(φ60*6m,20座)、放水口(φ30*4m,70座)、放水口(φ30*1m,10座)、水泥路(宽3.0m,厚18cm,5.5km)、会车平台(每处36平方,6处)、交叉路口(每处21.6平方,3处)、防护林(胸径6cm,1000株)、农开标志石(1项),具体施工内容详见工程量清单及图纸。

6、2021年灌南县高标准农田建设项目施工六标段(汤沟镇沟东、大同村)主要建设内容为:拆建大同东站(1座)、新建大同排涝站(1座)、改造沟东西站(1座)、中沟疏浚(b1=9-15m,b2=2-5.5m,h=3-3.5m,1.47km)、小沟疏浚(b1=6m,b2=1.2m,h=1.6m,1.69km)、坑塘回填(2500m3)、斗渠拆建(b1=1.7m,b2=0.5m,h=0.95m,2.23km) 、农渠新建(B=1.5m,b=0.45m,h=0.85m,2.22km)、农渠新建(B=1.3m,b=0.45m,h=0.85m,1.58km) 、农桥(2*6m*4.7m,L=15.48m,1座)、农桥(1*6m*4.7m,L=9.5m,1座) 、斗渠渠桥(口宽1.7m,L=2.32m,B=4.5m,46座) 、农渠1渠桥(口宽1.5m,L=2.12m,B=4.5m,58座)、农渠2渠桥(口宽1.3m,L=1.92m,B=4.5m,37座)、斗渠1节制闸(B=0.8m,h=0.95m,15座)、涵洞1(φ80*6m,18座)、涵洞2(φ80*6m,带闸,10座) 、涵洞3(φ100*6m,7座)、涵洞5(φ100*74m,1座) 、涵洞6(φ100*6m,带闸,4座) 、涵洞7(φ100*30m,带闸,1座)、农门(φ60*6m,43座)、放水口(φ30*4m,180座)、放水口(φ30*1m,42座)、水泥路(宽3.0m,厚18cm,7.83km) 、水泥路(宽3.5m,厚18cm,1.44km)、会车平台(每处36平方,45处)、交叉路口(每处21.6平方,13处)、防护林(胸径6cm,3000株)、农开标志石(1项)、斗渠1节制闸(B=0.8m,h=0.95m,15座)、涵洞2(φ80*6m,带闸,10座)、涵洞6(φ100*6m,带闸,4座)、涵洞7(φ100*30m,带闸,1座) 、农门(φ60*6m,43座),具体施工内容详见工程量清单及图纸。

7、2021年灌南县高标准农田建设项目施工七标段(新安镇公兴村、镇西村)主要建设内容为:公兴东北站(1座)、公兴站(1座)、梯形农渠1(B=1.5mb=0.45mh=0.85m,0.5km)、中沟渡槽(1×8.0mB=1.0mL=14.04m,U型,2座)、中沟桥(2×6.4mB=5.5mL=16.38m,1座)、中沟桥(2×6.4mB=4.5mL=16.38m,1座)、斗渠渠桥(2.6m*4.5m,1座)、斗渠渠桥(2.1m*4.5m,20座)、涵洞4(φ120*6m,1座)、涵洞6(φ80*6m,4座)、涵洞7(φ60*6m,20座)、农门(φ60*6m,22座)、斗门(φ80*6m,5座)、放水口(φ30*4m,21座)、放水口(φ30*1m,24座)、水泥路(宽2.5m,厚18cm,3.6km)、会车平台(每处25.5平方,6处)、交叉路口(每处5.375平方,10处)、防护林(1000株)、农开标志石(1项)、农门(φ60*6m,22座)、斗门(φ80*6m,5座),具体施工内容详见工程量清单及图纸。

8、2021年灌南县高标准农田建设项目施工八标段(新安镇硕项村)主要建设内容为:硕项东站(1座) 、硕项站(1座) 、硕项管灌站(1座)、梯形斗渠1(b1=1.7m b2=0.45m h=0.85m,0.21km)、梯形农渠1(B=1.5m b=0.45m h=0.85m,5.21km)、梯形农渠2(B=1.3m b=0.4m h=0.75m,1.27km)、中沟渡槽(1×8.0m B=1.0m L=14.04m,U型,1座)、中沟桥(2×8.0m B=4.5m L=20.38m,1座)、斗渠渠桥(2.6m*4.5m,1座)、斗渠渠桥(2.1m*4.5m,42座) 、涵洞1(φ150*6m,2座)、涵洞2(φ120*6m,带闸,3座)、涵洞3(φ120*20m,1座)、涵洞4(φ120*6m,2座)、涵洞5(φ80*12m,1座)、涵洞6(φ80*6m,5座)、涵洞7(φ60*6m,55座)、农门(φ60*6m,40座)、斗门(φ80*6m,6座)、放水口(φ30*4m,80座)、放水口(φ30*1m,60座)、高效节水片区(250亩)、水泥路(宽3.0m,厚18cm,3.9km)、会车平台(每处25.5平方,16处)、交叉路口(每处5.375平方,36处)、防护林(3800株)、农开标志石(1项)、涵洞2(φ120*6m,带闸,3座)、农门(φ60*6m,40座)、斗门(φ80*6m,6座),具体施工内容详见工程量清单及图纸。

9、 2021年灌南县高标准农田建设项目施工九标段(新安镇尹湖村)主要建设内容为:尹湖西南站(1座)、尹湖东站(1座)、尹湖东南站(1座)、尹湖东北站(1座)、尹湖管灌站(1座)、梯形斗渠1(b1=1.95m b2=0.6m h=1.05m,4.38km)、梯形斗渠2(B=1.3m b=0.4m h=0.75m,3.63km)、梯形农渠1(B=1.5m b=0.45m h=0.85m,10.04km)、渡槽新建(1×8.0m B=1.0m L=14.04m,U型,3座)、斗渠渠桥(2.6m*4.5m,57座) 、斗渠渠桥(2.1m*4.5m,84座)、涵洞1(φ150*6m,2座)、涵洞2(φ150*8m,1座)、涵洞3(φ80*6m,3座)、涵洞4(φ60*12m,1座)、涵洞5(φ60*6m,93座)、农门(φ60*6m,97座)、斗门(φ80*6m,25座)、放水口(φ30*4m,214座)、放水口(φ30*1m,76座)、高效节水片区(1100亩)、墒情监测项目(1项)、水泥路(宽3.0m,厚18cm,6.79km)、水泥路(宽3.5m,厚18cm,1.44km)、会车平台(每处25.5平方,24处)、交叉路口(每处5.375平方,52处)、防护林(7200株)、农开标志石(1项)、农门(φ60*6m,97座)、斗门(φ80*6m,25座),具体施工内容详见工程量清单及图纸。

10、2021年灌南县高标准农田建设项目施工十标段(张店镇龙兴村、张店社区居委会)主要建设内容为:张店社区排涝站(1座)、中沟疏浚2(B=9.0m b=2.5m h=2.5m 0.57万m³ 0.82km)、梯形斗渠2(B=1.7m b=0.5m h=0.95m,1.36km)、梯形农渠1(B=1.5m b=0.45m h=0.85m,1.75km)、梯形农渠2(B=1.3m b=0.45m h=0.85m,1.0km)、斗渠渠桥(2.6m*4.5m,39座)、斗渠渠桥(2.1m*4.5m,40座)、涵洞1(φ150*6m*2,带闸,1座)、涵洞2(φ150*6m*2,带闸,2座)、涵洞3(φ150*6m,1座)、涵洞7(φ60*6m,31座)、农门(φ60*6m,20座)、斗门(φ80*6m,10座)、放水口(φ30*4m,50座)、放水口(φ30*1m,100座)、水泥路(宽2.5m,厚18cm,0.93km)、会车平台(每处25.5平方,6处)、交叉路口(每处5.375平方,10处)、防护林(3000株)、农开标志石(1项)、张店社区排涝站(1座)、变压器80kVA(1台)、涵洞1(φ150*6m*2,带闸,1座)、涵洞2(φ150*6m*2,带闸,2座)、农门(φ60*6m,20座)、斗门(φ80*6m,10座),具体施工内容详见工程量清单及图纸。

11、2021年灌南县高标准农田建设项目施工十一标段(张店镇小圈村)主要建设内容为:向阳北站(1座)、小圈补给站(1座)、梯形斗渠1(b1=1.95m b2=0.6m h=1.05m,1.05km)、梯形斗渠2(B=1.7m b=0.5m h=0.95m,6.11km)、梯形农渠1(B=1.5m b=0.45m h=0.85m,3.41km)、梯形农渠2(B=1.3m b=0.45m h=0.85m,3.35km)、分水池(3.2*3.3*1.7m,1座)、小沟渡槽(1×6.4m B=0.8m L=12.4m,U型,4座)、斗渠渠桥(2.6m*4.5m,39座)、斗渠渠桥(2.1m*4.5m,49座)、涵洞2(φ150*6m*2,带闸,4座)、涵洞4(φ100*20m,带闸,6座)、涵洞5(φ100*6m,4座)、涵洞6(φ80*6m,1座)、涵洞7(φ60*6m,40座)、农门(φ60*6m,47座)、斗门(φ80*6m,10座)、放水口(φ30*4m,81座)、放水口(φ30*1m,216座)、高效节水片区(550亩)、水泥路(宽3.0m,厚18cm,1.72km)、水泥路(宽2.5m,厚18cm,6.59km)、会车平台(每处25.5平方,18处)、交叉路口(每处5.375平方,32处)、防护林(3800株)、农开标志石(1项)、向阳北站(1座)、小圈补给站(1座)、高压线路(0.2km)、变压器80kVA(2台)、分水池(3.2*3.3*1.7m,1座)、涵洞2(φ150*6m*2,带闸,4座)、涵洞4(φ100*20m,带闸,6座)、农门(φ60*6m,47座)、斗门(φ80*6m,10座),具体施工内容详见工程量清单及图纸。

12、2021年灌南县高标准农田建设项目施工十二标段(张店镇腰庄村)主要建设内容为:腰庄西站(1座)、腰庄管道泵站(1座)、梯形斗渠1(B=1.7m b=0.5m h=0.95m,12.11km) 、梯形农渠1(B=1.5m b=0.45m h=0.85m,1.52km)、梯形农渠2(B=1.3m b=0.4m h=0.75m,7.89km)、分水池(3.2*3.2*1.7m,4孔,1座)、渡槽1(3×6.4m B=1.0m L=25.28m,U型,1座) 、渡槽2(1×8m B=1.0m L=14.04m,U型,5座) 、斗渠渠桥(2.6m*4.5m,20座)、斗渠渠桥(2.1m*4.5m,65座)、涵洞1(φ80*10m,带闸,8座)、涵洞1(φ80*8m,带闸,2座)、涵洞3(φ60*6m,32座)、农门(φ60*6m,45座)、斗门(φ80*6m,6座)、放水口(φ30*4m,151座)、放水口(φ30*1m,151座)、高效节水片区(400亩)、水泥路(宽3.0m,厚18cm,5.99km)、水泥路(宽3.5m,厚18cm,0.77km)、水泥路(宽2.5m,厚18cm,0.85km)、会车平台(每处25.5平方,15处)、交叉路口(每处5.375平方,32处)、防护林(4000株)、农开标志石(1项)、腰庄西站(1座)、腰庄管道泵站(1座)、变压器80kVA(1台)、分水池(3.2*3.2*1.7m,4孔,1座)、涵洞1(φ80*10m,带闸,8座)、涵洞1(φ80*8m,带闸,2座)、农门(φ60*6m,45座)、斗门(φ80*6m,6座),具体施工内容详见工程量清单及图纸。

13、2021年灌南县高标准农田建设项目施工十三标段(三口镇大港村)主要建设内容为:大港西南站(1座)、良种场东站(1座)、高效节水片区1泵站(1座)、良种场站(高效节水管道泵)(1座)、中沟疏浚(B=8.0m b=2.0m h=2.5m 0.28 m³ 0.6km)、小沟 1疏浚(b1=3m b2=0.5m h=1.5m 0.20 m³ 1.09km)、小沟 2疏浚(b1=3m b2=0.5m h=1.5m 0.15 m³ 0.81km)、小沟3疏浚(b1=3m b2=0.5m h=1.5m 0.16 m³ 0.88km)、小沟4疏浚(b1=3m b2=0.5m h=1.5m 0.08 m³ 0.48km)、梯形渠1(B=1.3m b=0.4m h=0.75m,5.6km)、梯形渠2(B=1.5m b=0.45m h=0.85m,0.3km)、梯形渠4(b1=1.95m b2=0.6m h=1.05m,1.3km)、梯形渠5(B=2.2m b=0.7m h=1.15m,0.24km)、生态护坡、节制闸(B=2m,h=2m,1座)、渡槽1新建(3×6.4m B=1.0m L=25.2m,U型,1座) 、渡槽2新建(2×8.0m B=0.8m L=22m,U型,1座)、渡槽3新建(1×8.0m B=0.8m L=8.4m,U型,4座)、小沟桥(1×8.0m B=4.5m L=12.40m,2座)、斗渠渠桥(2.8m*4.5m,3座)、斗渠渠桥(2.6m*4.5m,8座)、斗渠渠桥(2.1m*4.5m,20座)、涵洞1(φ150*6m,带闸,1座)、涵洞2(φ100*6m,带闸,5座)、涵洞3(φ100*6m,1座)、涵洞4(φ60*6m,9座)、农门(φ60*6m,10座)、斗门(φ80*6m,1座)、放水口(φ30*4m,80座)、放水口(φ30*1m,30座)、高效节水1 片区(540亩)、高效节水2 片区(460亩)、水泥路(宽3.0m,厚18cm,6.9km)、水泥路(宽3.5m,厚18cm,2.42km)、会车平台(每处25.5平方,19处)、交叉路口(每处5.375平方,61处)、防护林(3500株)、农开标志石、节制闸(B=2m,h=2m,1座)、涵洞1(φ150*6m,带闸,1座)、涵洞2(φ100*6m,带闸,5座)、农门(φ60*6m,10座)、斗门(φ80*6m,1座),具体施工内容详见工程量清单及图纸。

14、2021年灌南县高标准农田建设项目施工十四标段(三口镇后河村)主要建设内容为:友南站(1座)、后河站(1座)、后河中站(1座)、小沟疏浚5(b1=3m b2=0.5m h=1.5m 0.06 m³ 0.34km)、小沟疏浚6(b1=3m b2=0.5m h=1.5m 0.06 m³ 0.35km)、梯形渠1(B=1.3m b=0.4m h=0.75m,1.2km)、梯形渠2(B=1.5m b=0.45m h=0.85m,0.95km)、梯形渠3(B=1.7m b=0.5m h=0.95m,4.41km)、梯形渠4(b1=1.95m b2=0.6m h=1.05m,0.68km)、梯形渠5(B=2.2m b=0.7m h=1.15m,1.08km)、渡槽3新建(1×8.0m B=0.8m L=8.4m,U型,2座)、渡槽4新建(1×6.4m B=1.0m L=12.4m,U型,2座)、小沟桥(1×8.0m B=4.5m L=12.40m,3座) 、斗渠渠桥(2.8m*4.5m,4座)、斗渠渠桥(2.6m*4.5m,8座)、斗渠渠桥(2.1m*4.5m,25座)、涵洞3(φ100*6m,1座)、涵洞4(φ60*6m,9座)、农门(φ60*6m,10座)、斗门(φ80*6m,1座)、放水口(φ30*4m,86座)、放水口(φ30*1m,45座)、水泥路(宽3.0m,厚18cm,4.25km)、水泥路(宽3.5m,厚18cm,2.46km)、会车平台(每处25.5平方,19处)、交叉路口(每处5.375平方,61处)、防护林(3800株)、农开标志石、农门(φ60*6m,10座)、斗门(φ80*6m,1座),具体施工内容详见工程量清单及图纸。

15、2021年灌南县高标准农田建设项目施工十五标段(新集镇菊花村)主要建设内容为:中沟疏浚1(B=8.0m b=2.0m h=2.5m 0.234 万m³ 0.73km)、中沟疏浚2(B=9.0m b=2.0m h=2.5m 0.238 万m³ 0.7km)、梯形农渠1(B=1.5m b=0.45m h=0.85m,0.59km)、梯形斗渠2(b1=1.95m b2=0.6m h=1.05m,4.25km)、梯形斗渠1(B=2.2m b=0.7m h=1.15m,0.825km)、矩形渠(B=1.0m,H=1.2m,0.14km)、中沟桥2(1*8.0m B=5.5m L=12.4m,1座)、斗渠渠桥(2.8m*4.5m,2座)、斗渠渠桥(2.6m*4.5m,16座)、农渠渠桥(2.1m*4.5m,10座)、涵洞(φ100*6m,带闸,3座)、涵洞(φ80*6m,5座)、涵洞(φ100*6m,1座)、农门(φ60*6m,14座)、斗门(φ80*6m,1座)、放水口(φ30*4m,67座)、放水口(φ30*1m,16座)、水泥路(宽3.0m,厚18cm,1.5km)、水泥路(宽2.5m,厚18cm,1.08km)、会车平台(每处25.5平方,8处)、交叉路口(每处5.375平方,16处)、防护林(2000株)、农开标志石、涵洞(φ100*6m,带闸,3座)、农门(φ60*6m,14座)、斗门(φ80*6m,1座),具体施工内容详见工程量清单及图纸。

16、2021年灌南县高标准农田建设项目施工十六标段(新集镇徐老庄)主要建设内容为:中沟疏浚1(B=8.0m b=2.0m h=2.5m 0.234 万m³ 0.73km)、中沟疏浚2(B=9.0m b=2.0m h=2.5m 0.238 万m³ 0.7km)、梯形农渠1(B=1.5m b=0.45m h=0.85m,0.59km)、梯形斗渠2(b1=1.95m b2=0.6m h=1.05m,4.25km)、梯形斗渠1(B=2.2m b=0.7m h=1.15m,0.825km)、矩形渠(B=1.0m,H=1.2m,0.14km)、中沟桥2(1*8.0m B=5.5m L=12.4m,1座)、斗渠渠桥(2.8m*4.5m,2座)、斗渠渠桥(2.6m*4.5m,16座)、农渠渠桥(2.1m*4.5m,10座)、涵洞(φ100*6m,带闸,3座)、涵洞(φ80*6m,5座)、涵洞(φ100*6m,1座)、农门(φ60*6m,14座)、斗门(φ80*6m,1座)、放水口(φ30*4m,67座)、放水口(φ30*1m,16座)、水泥路(宽3.0m,厚18cm,1.5km)、水泥路(宽2.5m,厚18cm,1.08km)、会车平台(每处25.5平方,8处)、交叉路口(每处5.375平方,16处)、防护林(2000株)、农开标志石、涵洞(φ100*6m,带闸,3座)、农门(φ60*6m,14座)、斗门(φ80*6m,1座),具体施工内容详见工程量清单及图纸。

(四)、工期要求:2021年12月30日完成合同工程量的90%,2022年3月31日完成全部建设内容(若受财政资金无法到位等原因影响,项目不能停工,不得影响群众农时,施工矛盾由中标单位处理),实际开工时间以开工令为准。

 (五)、工程质量要求:符合国家、省现行农田建设项目验收规定和相关规范、规定及规程要求的合格标准。

三、投标人资格要求

本工程采用资格后审方式,以下条件属于资格审查合格条件:

3.1、投标人有独立订立合同的能力,具有有效的营业执照、企业基本账户《开户许可证》或基本存款账户信息证明材料;

3.2、投标人须具备水利水电工程施工总承包叁级及以上资质,且具有有效的安全生产许可证;

3.3、投标人拟报的项目负责人(项目经理)须具备水利水电工程专业二级及以上注册建造师资格(在有效期内);

3.4、投标人拟报的项目技术负责人具备工程类中级及以上技术职称;

3.5投标人法定代表人(A类)、拟报项目负责人(项目经理)(B类)、拟报专职安全员(C类)具备有效的安全生产考核合格证书。

3.6投标人法定代表人、拟报项目负责人(项目经理)、拟报项目技术负责人、拟报专职安全员,须提供劳动合同(有效期内),并提供由社保机构出具的本单位为其缴纳的社保缴纳证明,社保缴纳时间为2020年12月至2021年05月(社保缴纳证明须加盖社保中心章或社保中心参保缴费证明电子专用章)。

3.7扣除所承担的其他合同占用的资金并且不考虑本合同可能支付的预付款的情况下,投标人用于本项目的流动资金不少于60万元【附2021年7月27至2021年8月5日的银行对账单,企业基本户账户余额每个法定工作日均不少于60万元,提供银行对账单及授权证明书(格式详见第八章投标文件格式】

3.8符合法律、法规规定的其他条件:

3.8.1、本工程招标工作执行连清办【2014】4号、连清办【2014】16号、连清办【2015】6号、连清办【2015】9号、连清办【2015】15号、连清办【2016】2号、连清办【2017】5号、连清办【2019】3号、连清办【2020】3号、连清办[2021]3号、苏清办【2014】5号、苏清办【2015】9号、苏清办【2016】7号、苏清办【2017】6号文、苏清办【2018】4号、苏清办【2019】3号、苏清办【2020】2号、苏清办【2021】5号等文件,凡是出现在上述文件中的投标单位和项目经理且未解禁的,报名时请各投标单位自行查看上述文件内容,否则由此产生的所有后果均自负。如中标后被投诉该投标单位和项目经理出现在上述文件中且未解禁的,则取消中标候选人资格、投标保证金不予退还、上报相关主管部门追究责任并按相关文件规定进行处罚。

3.8.2投标人近 3 年内无行贿犯罪行为记录,法定代表人无行贿犯罪记录;或者有行贿犯罪行为记录,但自记录之日起已超过 5 年的。项目负责人无行贿犯罪行为记录;或者有行贿犯罪行为记录,但自记录之日起已超过5年的。投标企业、法定代表人及项目负责人无行贿犯罪行为记录采用信用承诺方式(格式详见第八章投标文件承诺书格式)。

3.8.3本工程招标工作遵照苏建建管(2013)508号文、连建发【2018】421号:

投标企业及项目负责人未被限制在招标项目所在地投标、项目负责人投标后不影响办理工程建设手续且在岗履职、不出借挂靠资质等采用信用承诺方式由投标人自行承诺。(格式详见第八章投标文件承诺书格式)

3.8.4本工程招标工作执行连建发【2019】182 号文、江苏省住房和城乡建设厅公告【2018】6 号规定。投标人参加本次投标所用资质必须在江苏省建筑业监管信息平台 “动态监管不合格资质查询”中查询为合格企业。若投标有效期内企业资质核查不合格,招标人将取消其中标资格,并重新确定中标人。对于弄虚作假的企业,将按规定记录失信行为,并取消其投标、中标资格,不予退还投标保证金。企业资质动态监管合格情况采用信用承诺方式由投标人自行承诺。(格式详见第八章投标文件承诺书格式)

3.8.5本项目执行“关于印发《关于在公共资源交易领域的招标投标活动中建立对失信被执行人联合惩戒机制的实施意见》的通知”苏信用办(2018)23号文件的要求。惩戒期限自网站上公布的失信被执行人信息中载明的发布时间开始,直至撤销或更正信息中载明的发布时间的期间。(格式详见第八章投标文件承诺书格式)

3.8.6本工程执行连建发(2018)95号文,投标人确定的项目负责人须全程参与招投标过程(含开标、异议投诉等)。

3.9投标人不得存在下列情形之一:

3.9.1、为招标人不具有独立法人资格的附属机构(单位);

3.9.2、为本招标项目的监理人、代建人、项目管理人,以及为本招标项目提供招标代理、设计服务的;

3.9.3、与本招标项目的监理人、代建人、招标代理机构同为一个法定代表人的,或者相互控股、参股的;

3.9.4、与招标人存在利害关系可能影响招标公正性的;

3.9.5、单位负责人为同一人或者存在控股、管理关系的不同单位;

3.9.6、处于被责令停业、财产被接管、冻结和破产状态,以及投标资格被取消或者被暂停且在暂停期内;

3.9.7、因拖欠工人工资或者发生质量安全事故被有关部门限制在招标项目所在地承接工程

的;

3.10、本次招标不接受联合体投标。

四、资格审查办法

本工程采用资格后审方式,资格审查具体内容详见招标文件。

资格审查内容不得失实或者弄虚作假。

五、评标办法

综合评分法,具体细则详见招标文件。

评审因素

评审标准

分值构成

(总分100分)

一、投标报价:68分

二、不平衡报价分:5分

三、施工组织设计:25分

四、投标人业绩:2分

评标基准价

计算方法

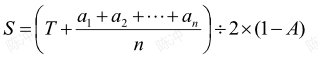
本工程采用评标基准价,评标基准价为

T为最高限价;有效标n>5时,为剔除投标人最高报价和最低报价后的各投标报价,n≤5时,无需剔除。)A为下浮系数,分别为1%、1.5%、2%,开标时由招标人代表现场随机抽取确定每标段下浮系数。

本工程设最高限价,投标报价高于最高限价的作无效标处理。

一、投标报价(68分)

投标价(算术修正后,下同)等于评标基准价的,得68分;投标价高于评标基准价的,每上浮一个百分点扣0.9分;投标价低于评标基准价的,每下浮一个百分点扣0.6分。

中间值按比例内插计算。保留两位小数,小数点后第三位数字“四舍五入”。最低得分为零分。

二、不平衡报价分

(5分)

投标人的分项投标价有一项超出最高限价相应分项单价±5%的,扣1分,最多扣5分。(各分部分项工程分组限价详见附表)。

 

 

 

 

 

 

 

 

 

 

 

三、施工组织设计

(25分)

1、施工现场地布置和临时设施设计(1.0分)

场地布置合理0.5分;临时设施设计合理0.5分。有缺陷,酌情扣分。

2、施工围堰及降排水方案、措施(1.0分)

方案合理、措施得当,得1.0分。有缺陷,酌情扣分。

3、施工进度计划合理,工期保证措施(2.0分)。

施工进度计划合理1.0分;工期保证措施可行1.0分。有缺陷,酌情扣分。

4、施工机具设备及劳动力配置(2.0分)

施工机具、劳动力配置合理,能满足施工强度要求得2.0分。有缺陷,酌情扣分。

5、项目管理机构配置(2.0分)

项目管理机构配置合理、有框图,得2.0分。有缺陷,酌情扣分。

6、各分部分项工程施工工艺及质量保证措施(3.0分)

施工工艺及质量保证措施合理可行,得3分。有缺陷,酌情扣分。

7、混凝土工程施工方案及质量保证措施(3分)

混凝土生产、浇筑工艺及组织合理,能满足施工需要并有保证混凝土内外质量的措施,得2分;有特殊要求部位方案合理,措施可行,得1分。有缺陷,酌情扣分。

8、砌体及垫层施工方案及质量保证措施(3.0分)

方案及措施合理可行,得3.0分,有缺陷,酌情扣分。

9、绿化工程中苗木采购、栽植、养护方案及质量保证措施(2.0分)

方案及措施合理可行,得2.0分,有缺陷,酌情扣分。

10、工程原材料等抽检的方案及质量控制措施(1.5分)

工程原材料(包括水泥、掺合料及外加剂等)、成品半成品、中间产品的合格性进行抽检的方案及质量控制措施合理,得1.5分。有缺陷,酌情扣分。

11、质量保证体系及措施(2.0分)。

质量保证体系健全得1.0分;质量保证措施可行得1.0分。有缺陷,酌情扣分。

12、安全生产、文明施工及环境保护方案(1.5分)。

安全生产方案合理得0.5分;文明施工方案合理得0.5分;环境保护方案合理得0.5分。有缺陷,酌情扣分。

13、施工组织设计总篇幅不得超过120页,超过120页,每超一页扣0.1分,最多扣1分。

四、投标人业绩

(2分)

1、类似业绩:企业自2018年1月1日至今完成的类似工程(高标准农田建设项目或水利或土地整理或农业综合开发)合同造价300万元及以上的项目,提供1个施工合同得1分,最高得2分。

注1、须上传中标通知书、施工合同、竣工验收证明或完工证明原件扫描件,否则不得分;

2、金额以中标通知书为准,时间以竣工验收或完工时间为准。

 

六、招标文件获取

6.1、招标公告发布时间为:2021年07月08日至2021年07月15日;

6.2、投标单位进入“连云港市公共资源交易网”, 通过CA证书登录【交易平台】—【综合交易】—【(新)投标人】,进入“交易乙方”,在“招标文件下载”中,进行所参加项目“信息录入”、“下载招标文件”,具体流程详见下载专区“综合交易投标人操作手册”; 没有按规定在网上完成“信息录入”、“下载招标文件”投标单位,其投标文件将被拒收,由此造成的不利后果由投标单位自行承担。【投标过程中遇到软件问题可联系何工:18452501766】

6.3、本项目招标文件售价(500元人民币,售后不退),提醒:请投标申请人务必在规定截止时间前获取招标文件,否则将导致投标失败!

6.4、如果您是第一次在连云港地区进行网络投标,请您先联系江苏CA公司办理网络投标密码锁和企业电子签章,然后联系国泰新点软件公司进行密码锁的激活,用密码锁登陆连云港市公共资源交易网站会员系统进行诚信信息库的操作,以上步骤不进行或操作不完善,可能导致无法进场交易。

七、其他要求

1、招标人谢绝挂靠单位参与本工程的投标。如在招投标过程中发现以他人名义投标并中标的,将取消其中标资格,没收其全部投标保证金等。同时招标人将对投标人进行考察、了解。如发现挂靠单位报名或资格不能满足本次招标要求的,将取消其投标资格。中标后一经核实为挂靠的,将被取消中标资格,并按相关规定进行处罚,直至建议有关部门吊销资质证书。

2、投标保证金必须从企业的法人基本存款账户缴纳。以个人、企业的办事处、分公司、子公司名义或从他人账户、投标人企业的其他账户缴纳的投标保证金无效。

3、贯穿工程整个招投标活动始终,一旦发现有虚假行为,招标人立即中止该投标人的投标活动,并上报相关主管部门追究其责任。

八、有下列行为之一的投标人,本工程不接受其参加投标

1、有违反法律、法规行为,依法被取消投标资格且期限未满的;

2、因招投标活动中有违法违规和不良行为,被有关招投标行政监督部门公示且公示期未满的。

九、踏勘现场和投标预备会

招标人不组织踏勘现场和投标预备会。投标人可根据需要自行踏勘现场,投标人无论考察与否,都将被视为已经对本项目的总体情况、工作难度、条件及当地的有关情况获得了解,并且认为投标人已充分了解了自己中标后有可能承担的风险、责任和义务,本招标文件不再对上述情况进行描述;潜在投标人勘测现场产生的费用及风险由其自行负担。

十、投标文件递交截止时间及地点

10.1 投标截止时间为:2021年8月12日09时00分。

10.2递交地点:投标人自行选择任意地点参加远程开标会。(本工程采用远程不见面交易模式)。

注:1、投标人开标前完成网上投标文件上传,本项目采用不见面方式开标。

2、电子标书制作:投标人请到连云港市公共资源交易平台综合交易新投标人处下载投标文件制作工具,用于打开招标文件并制作投标文件。

3、本次招标文件采用最新制作工具进行制作,投标人务必采用最新制作工具进行制作,投标单位制作投标文件时如遇投标工具中投标格式与招标文件不一致,请投标单位按照招标文件中投标格式要求编制一份投标文件资料添加在投标工具的【投标其他文件】中。如因投标人未按要求执行造成的一切后果(包括废标)均由投标人自行承担。

4、为顺利实现本项目开评标的远程交互,建议投标人配置的硬件设施有:高配置电脑、高速稳定的网络、电源(不间断)、CA锁、音视频设备(话筒、耳麦、高清摄像头、音响)、扫描仪、打印机、传真机、高清视频监控等;建议投标人具备的软件设施有:IE浏览器(版本必须为11及11以上),江苏省互联互通驱动。为保证交互效果,建议投标人选择封闭安静的地点参与远程交互。因投标人自身软硬件配备不齐全或发生故障等问题而导致在交互过程中出现不稳定或中断等情况的,由投标人自身承担一切后果。

十一、组建项目部

中标单位签订合同3日内,提交开工申请资料,10日内必须组建项目部并开工建设,10日内未组建项目部,业主有权清退中标单位,造成的一切后果均由中标单位承担。投标文件中所列主要管理人员(项目负责人、技术负责人、专职安全员)必须驻场。

十二、发布公告的媒介

本次招标公告在连云港市公共资源交易网发布。

十三、联系方式

招标人:灌南县农业农村局

地址:灌南县人民中路行政集中办公区

联系人:葛主任

联系电话:0518-83968680

招标代理机构: 江苏万达工程造价事务所有限公司

地    址: 连云港市海州区朝阳东路36号凤凰国际大厦10层

邮    编: 222000

联 系 人:孙工

电    话:0518-83066002 /0518-83066061   

2021年07月 08 日

 

 

 

 

 

 

 

 

 

 

 

 

 

 

 

 

 

 

 

 

 

 

 

 

 

连云港市电子化招投标注意事项

注意事项:如果您是第一次在连云港地区进行网络投标,请您先联系中国金融认证中心(CFCA)和 江苏省国信数字科技有限公司(国信CA)办理网络投标密码锁和企业电子签章,然后联系国泰新点软件公司进行密码锁的激活,用密码锁登陆相关网站会员系统进行诚信信息库的操作 , 以上步骤不进行或操作不完善,可能导致无法进场交易。

连云港市公共资源交易中心地址:

连云港市海州区凌州东路9号C座。

江苏CA、江苏翔晟(连云港办事点):

连云港市海州区凌州东路9号B座。

密码锁激活:

登录网站:连云港市公共资源交易中心

公司名称

联系人

联系电话

CA

CFCA

连云港 孙丽丽

连云港 耿立珍

公司客服

18005133017

(微信同号)

17751872787

( 微信同号)

4001662366

国信CA

周梦雪

魏  飞

15298603303

( 微信同号)

18261319191

( 微信同号)

新点软件

黄桂松

朱家旺

张海南

15896100880

15161373079

18505182641

广联达

郑磊

刘书丹

13812332568

18651253807

 

注:本次招标文件采用最新制作工具进行制作,投标人务必采用最新制作工具进行制作,投标单位制作投标文件时如遇投标工具中投标格式与招标文件不一致,请投标单位按照招标文件中投标格式要求编制一份投标文件资料添加在投标工具的【投标其他文件】中。如因投标人未按要求执行造成的一切后果(包括废标)均由投标人自行承担。

 

 

附件:
a975386b-5f14-4b16-8ce1-90430788eec6