首页 > 交易信息 > 其他行业 > 招标公告

[招标公告]2021年度灌南县高标准农田建设项目设备采购安装

【信息发布时间:2021-07-23 16:49  阅读次数:】 【我要打印】 【关闭】

2021年度灌南县高标准农田建设项目设备采购安装

招标公告

一、招标条件

本招标项目2021年灌南县高标准农田建设项目已由江苏省农业农村厅以苏农复〔2021〕15 号文批准建设,建设资金已落实。招标人为灌南县农业农村局,招标代理机构为江苏万达工程造价事务所有限公司。项目已具备招标条件,现对设备采购安装标段进行公开招标。

二、项目概况及招标范围

2.1本项目为2021年度灌南县高标准农田建设项目设备采购安装。主要实施内容包括:水泵、

电机、开关柜、变压器等泵站内机电设备;高压线路;其他配套设施的采购及安装。具体实施内容详见工程量清单及施工图。

2.2建设地点:连云港市灌南县境内      

2.3工期:接到业主通知后60日历天内完成供货、安装、调试等所有工作,保证设备正常运转。

2.4标段划分:一个标段

2.5质量要求:符合国家、省现行农田建设项目验收规定和相关规范、规定及规程要求的合格标准。

2.6最高投标限价:4643477.21元,(投标人投标时不得超过此价格,超过此价格将作无效标

处理);

2.7招标范围:2021年度灌南县高标准农田建设项目设备采购安装。主要实施内容包括:水

泵、电机、开关柜、变压器等泵站内机电设备;高压线路;其他配套设施的采购及安装。具体实施内容详见工程量清单及施工图。

三、投标人资格要求

本工程采用资格后审方式,以下条件属于资格审查合格条件:

3.1、投标人有独立订立合同的能力,具有有效的营业执照、企业基本账户《开户许可证》或基本存款账户信息证明材料;

3.2、投标人须具备水利水电工程施工总承包叁级及以上资质,且具有有效的安全生产许可证;

3.3、投标人拟报的项目负责人(项目经理)须具备水利水电工程专业二级及以上注册建造师资格(在有效期内);

3.4、投标人拟报的项目技术负责人具备工程类中级及以上技术职称;

3.5投标人法定代表人(A类)、拟报项目负责人(项目经理)(B类)、拟报专职安全员(C类)具备有效的安全生产考核合格证书。

3.6投标人法定代表人、拟报项目负责人(项目经理)、拟报项目技术负责人、拟报专职安全员,须提供劳动合同(有效期内),并提供由社保机构出具的本单位为其缴纳的社保缴纳证明,社保缴纳时间为2020年12月至2021年05月(社保缴纳证明须加盖社保中心章或社保中心参保缴费证明电子专用章)。

3.7符合法律、法规规定的其他条件:

3.7.1投标人近 3 年内无行贿犯罪行为记录,法定代表人无行贿犯罪记录;或者有行贿犯罪行为记录,但自记录之日起已超过 5 年的。项目负责人无行贿犯罪行为记录;或者有行贿犯罪行为记录,但自记录之日起已超过5年的。投标企业、法定代表人及项目负责人无行贿犯罪行为记录采用信用承诺方式(格式详见第八章投标文件承诺书格式)。

3.7.2本工程招标工作遵照连建发【2018】421号:

投标企业及项目负责人未被限制在招标项目所在地投标、项目负责人投标后不影响办理工程建设手续且在岗履职、不出借挂靠资质等采用信用承诺方式由投标人自行承诺。(格式详见第八章投标文件承诺书格式)

3.7.3本项目执行“关于印发《关于在公共资源交易领域的招标投标活动中建立对失信被执行人联合惩戒机制的实施意见》的通知”苏信用办(2018)23号文件的要求。惩戒期限自网站上公布的失信被执行人信息中载明的发布时间开始,直至撤销或更正信息中载明的发布时间的期间。(格式详见第八章投标文件承诺书格式)

3.7.4本工程执行连建发(2018)95号文,投标人确定的项目负责人须全程参与招投标过程(含开标、异议投诉等)。

3.8投标人不得存在下列情形之一:

3.8.1、为招标人不具有独立法人资格的附属机构(单位);

3.8.2、为本招标项目的监理人、代建人、项目管理人,以及为本招标项目提供招标代理、设计服务的;

3.8.3、与本招标项目的监理人、代建人、招标代理机构同为一个法定代表人的,或者相互控股、参股的;

3.8.4、与招标人存在利害关系可能影响招标公正性的;

3.8.5、单位负责人为同一人或者存在控股、管理关系的不同单位;

3.8.6、处于被责令停业、财产被接管、冻结和破产状态,以及投标资格被取消或者被暂停且在暂停期内;

3.8.7、因拖欠工人工资或者发生质量安全事故被有关部门限制在招标项目所在地承接工程

的;

3.9、本次招标不接受联合体投标。

四、资格审查办法

本工程采用资格后审方式,资格审查具体内容详见招标文件。

资格审查内容不得失实或者弄虚作假。

五、评标办法

本工程采用综合评分法。

评审因素

评审标准

分值构成

(总分100分)

一、投标报价:68分

二、不平衡报价分:5分

三、施工组织设计:25分

四、投标人业绩:2分

评标基准价

计算方法

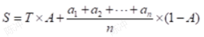
本工程采用评标基准价,评标基准价为

T为最高限价;有效标n>5时,为剔除投标人最高报价和最低报价后的各投标报价,n≤5时,无需剔除。)A为下浮系数,分别为1%、1.5%、2%,开标时由招标人代表现场随机抽取确定下浮系数。

本工程设最高限价,投标报价高于最高限价的作无效标处理。

一、投标报价(68分)

投标价(算术修正后,下同)等于评标基准价的,得68分;投标价高于评标基准价的,每上浮一个百分点扣0.9分;投标价低于评标基准价的,每下浮一个百分点扣0.6分。

中间值按比例内插计算。保留两位小数,小数点后第三位数字“四舍五入”。最低得分为零分。

二、不平衡报价分(5分)

投标人的分项投标价有一项超出最高限价相应分项单价±5%的,扣1分,最多扣5分。(各分部分项工程分组限价详见附表)。

 

 

 

 

 

 

 

三、施工组织设计

(25分)

 

1、设备安装进度计划合理,工期保证措施(5分)。

进度计划合理得2.5分;工期保证措施可行得2.5分。有缺陷,酌情扣分。

2、质量保证体系、措施:体系完整、措施得力得5分。有缺陷,酌情扣分。

3、安全保障体系及措施:体系完整、措施得力得5分。有缺陷,酌情扣分。

4、提供的安装及调试方案无缺漏、功能结构描述清楚、具体部署要求明确、合理可行并满足使用要求得5分。有缺陷,酌情扣分。

5、承诺设备技术参数全部响应招标文件要求的得1分,需上传设备技术参数全部响应的承诺书原件扫描件至投标文件中,否则不得分。

6、承诺自动化控制柜数据必须接入江苏省水利厅的江苏省智慧大中型灌区平台软件系统的得1分,需上传承诺书原件扫描件至投标文件中,否则不得分。

7、售后服务人员:有完善的人员服务体系,根据售后服务人员的配备情况、响应时间、响应程度、技术能力、售后服务标准、售后服务站点安排等进行打分。配置合理、安排得力得1分。有缺陷,酌情扣分。

8、投标人对本项目提供的质保期内及保修期外售后服务有详细、明确的保证措施和服务承诺,售后服务方案完整、售后服务制度全面,得2分。有缺陷,酌情扣分。

四、投标人业绩

(2分)

1、类似业绩:企业自2018年1月1日至今完成的类似工程(高标准农田建设项目或水利或土地整理或农业综合开发)合同造价300万元及以上的项目,提供1个项目,得1分,最高得2分。

注1、须同时上传中标通知书、施工合同、竣工验收证明或完工证明原件扫描件,否则不得分;

2、金额以中标通知书为准,时间以竣工验收或完工时间为准。

3、如上述中标通知书、施工合同、竣工验收证明或完工证明材料里不能明示含有泵站设备安装内容,则需提供业主盖章的证明材料,否则不得分。

 

六、招标文件获取

6.1、招标公告发布时间为:2021年07月23日至2021年07月30日;

6.2、投标单位进入“连云港市公共资源交易网”, 通过CA证书登录【交易平台】—【综合交易】—【(新)投标人】,进入“交易乙方”,在“招标文件下载”中,进行所参加项目“信息录入”、“下载招标文件”,具体流程详见下载专区“综合交易投标人操作手册”; 没有按规定在网上完成“信息录入”、“下载招标文件”投标单位,其投标文件将被拒收,由此造成的不利后果由投标单位自行承担。【投标过程中遇到软件问题可联系何工:18452501766】

6.3、本项目招标文件售价(500元人民币,售后不退),提醒:请投标申请人务必在规定截止时间前获取招标文件,否则将导致投标失败!

6.4、如果您是第一次在连云港地区进行网络投标,请您先联系江苏CA公司办理网络投标密码锁和企业电子签章,然后联系国泰新点软件公司进行密码锁的激活,用密码锁登陆连云港市公共资源交易网站会员系统进行诚信信息库的操作,以上步骤不进行或操作不完善,可能导致无法进场交易。

七、其他要求

1、招标人谢绝挂靠单位参与本工程的投标。如在招投标过程中发现以他人名义投标并中标的,将取消其中标资格,没收其全部投标保证金等。同时招标人将对投标人进行考察、了解。如发现挂靠单位报名或资格不能满足本次招标要求的,将取消其投标资格。中标后一经核实为挂靠的,将被取消中标资格,并按相关规定进行处罚,直至建议有关部门吊销资质证书。

2、投标保证金必须从企业的法人基本存款账户缴纳。以个人、企业的办事处、分公司、子公司名义或从他人账户、投标人企业的其他账户缴纳的投标保证金无效。

3、贯穿工程整个招投标活动始终,一旦发现有虚假行为,招标人立即中止该投标人的投标活动,并上报相关主管部门追究其责任。

八、有下列行为之一的投标人,本工程不接受其参加投标

1、有违反法律、法规行为,依法被取消投标资格且期限未满的;

2、因招投标活动中有违法违规和不良行为,被有关招投标行政监督部门公示且公示期未满的。

九、踏勘现场和投标预备会

招标人不组织踏勘现场和投标预备会。投标人可根据需要自行踏勘现场,投标人无论考察与否,都将被视为已经对本项目的总体情况、工作难度、条件及当地的有关情况获得了解,并且认为投标人已充分了解了自己中标后有可能承担的风险、责任和义务,本招标文件不再对上述情况进行描述;潜在投标人勘测现场产生的费用及风险由其自行负担。

十、投标文件递交截止时间及地点

10.1 投标截止时间为:2021年8月13日10时00分。

10.2递交地点:投标人自行选择任意地点参加远程开标会。(本工程采用远程不见面交易模式)。

注:1、投标人开标前完成网上投标文件上传,本项目采用不见面方式开标。

2、电子标书制作:投标人请到连云港市公共资源交易平台综合交易新投标人处下载投标文件制作工具,用于打开招标文件并制作投标文件。

3、本次招标文件采用最新制作工具进行制作,投标人务必采用最新制作工具进行制作,投标单位制作投标文件时如遇投标工具中投标格式与招标文件不一致,请投标单位按照招标文件中投标格式要求编制一份投标文件资料添加在投标工具的【投标文件正文】中。如因投标人未按要求执行造成的一切后果(包括废标)均由投标人自行承担。

4、为顺利实现本项目开评标的远程交互,建议投标人配置的硬件设施有:高配置电脑、高速稳定的网络、电源(不间断)、CA锁、音视频设备(话筒、耳麦、高清摄像头、音响)、扫描仪、打印机、传真机、高清视频监控等;建议投标人具备的软件设施有:IE浏览器(版本必须为11及11以上),江苏省互联互通驱动。为保证交互效果,建议投标人选择封闭安静的地点参与远程交互。因投标人自身软硬件配备不齐全或发生故障等问题而导致在交互过程中出现不稳定或中断等情况的,由投标人自身承担一切后果。

十一、发布公告的媒介

本次招标公告在连云港市公共资源交易网发布。

十二、联系方式

招标人:灌南县农业农村局

地址:灌南县人民中路行政集中办公区

联系人:葛主任

联系电话:0518-83968680

招标代理机构: 江苏万达工程造价事务所有限公司

地    址: 连云港市海州区朝阳东路36号凤凰国际大厦10层

邮    编: 222000

联 系 人:孙工

电    话:0518-83066002 /0518-83066061

2021年07月23日

 

 

 


 

连云港市电子化招投标注意事项

注意事项:如果您是第一次在连云港地区进行网络投标,请您先联系中国金融认证中心(CFCA)和 江苏省国信数字科技有限公司(国信CA)办理网络投标密码锁和企业电子签章,然后联系国泰新点软件公司进行密码锁的激活,用密码锁登陆相关网站会员系统进行诚信信息库的操作 , 以上步骤不进行或操作不完善,可能导致无法进场交易。

连云港市公共资源交易中心地址:

连云港市海州区凌州东路9号C座。

江苏CA、江苏翔晟(连云港办事点):

连云港市海州区凌州东路9号B座。

密码锁激活:

登录网站:连云港市公共资源交易中心

公司名称

联系人

联系电话

CA

CFCA

连云港 孙丽丽

连云港 耿立珍

公司客服

18005133017

(微信同号)

17751872787

( 微信同号)

4001662366

国信CA

周梦雪

魏  飞

15298603303

( 微信同号)

18261319191

( 微信同号)

新点软件

黄桂松

朱家旺

张海南

15896100880

15161373079

18505182641

广联达

郑磊

刘书丹

13812332568

18651253807

 

注:本次招标文件采用最新制作工具进行制作,投标人务必采用最新制作工具进行制作,投标单位制作投标文件时如遇投标工具中投标格式与招标文件不一致,请投标单位按照招标文件中投标格式要求编制一份投标文件资料添加在投标工具的【投标其他文件】中。如因投标人未按要求执行造成的一切后果(包括废标)均由投标人自行承担。

 

附件:
9bd8ad4d-6240-42f2-9414-0c307c0c9c7b