首页 > 交易信息 > 其他行业 > 招标公告

[招标公告]关于2021年江苏省监狱管理局五图河农场六、八、九分场片高标准农田建设项目(财政补助)施工一标段的公告

【信息发布时间:2021-08-18 17:12  阅读次数:】 【我要打印】 【关闭】

2021年江苏省监狱管理局五图河农场六、八、九分场片高标准农田建设项目(财政补助)施工一标段

编号:320723-ZHJY-GYZHJY20210805

1. 招标条件

本招标项目2021年江苏省监狱管理局五图河农场六、八、九分场片高标准农田建设项目(财政补助)(项目名称)已批准建设,项目业主为江苏五图河农场有限公司,建设资金来自省级以上财政资金和地方筹资,现已落实(资金来源)。项目已具备招标条件,现对该项目的2021年江苏省监狱管理局五图河农场六、八、九分场片高标准农田建设项目(财政补助)施工一标段进行公开招标,特邀请有兴趣的潜在投标人参加投标。

2. 项目概况与招标范围

2021年江苏省监狱管理局五图河农场六、八、九分场片高标准农田建设项目(财政补助),涉及五图河农场六、八、九三个分场,项目区西至五图河东河口线,东至六分场六区、七区东侧南北向排水沟东沟口线及其延长线,北端为沿现状沟系的外沟口线,北起洋柴公路南侧封闭排河北河口线,南至九分场分场部北侧东西向五建河及其以东东西向排河(本项目统称为五建河)南河口线及其延长线,面积 2万亩。

本次只对2021年江苏省监狱管理局五图河农场六、八、九分场片高标准农田建设项目(财政补助)施工2个标段进行招标,具体详见招标文件及工程量清单,各标段主要建设内容及限价如下:

一标段(2021年江苏省监狱管理局五图河农场六、八、九分场片高标准农田建设项目(财政补助)施工一标段):排灌站7座,衬砌渠道1.59KM,渠系建筑物231座,生产路2.32KM,招标控制价为15319432.17元。

二标段(2021年江苏省监狱管理局五图河农场六、八、九分场片高标准农田建设项目(财政补助)施工二标段):排灌站4座,衬砌渠道4.17KM,渠系建筑物223座,招标控制价为13322879.71元。

以上两个标段具体内容详见招标文件及工程量清单。

工期要求:180日历天,具体开工时间以开工令为准,2022年4月30日前完成全部建设内容。

质量要求:符合国家、省现行农业项目验收规定和水利工程相关规范、规定及规程要求的合格标准。

3. 投标人资格要求

(1)投标人有独立订立合同的能力,具有有效的营业执照及企业基本账户《开户许可证》(或基本存款账户信息材料)。

(2)投标人具有水利水电工程施工总承包叁级及以上资质(有效期内),且具有安全生产许可证(有效期内)。

(3)投标人拟任的项目经理须具备水利水电工程专业二级注册建造师及以上资格(有效期内),项目负责人及其他事项符合连建发(2018)95 号文要求。

(4)投标人拟任的项目技术负责人具备水利专业高级及以上技术职称。

(5)投标人拟任项目经理(B类)、拟任专职安全员(C类)具备安全生产考核合格证书(有效期内)。

(6)要求提供拟投入本工程的项目经理、技术负责人、专职安全员与投标人签订的有效劳动合同及2021年2月至2021年7月在本单位连续缴费6个月的社会保险缴费证明。

(7)投标单位在2018年1月1日至今,有承担高标准农田建设项目或农田水利工程或土地整理工程或千亿斤粮食工程等的类似业绩,时间以竣工验收证明或完工证明时间为准,需提供中标通知书、施工合同、竣工验收或完工证明,提供的证明材料必须能清晰的表明类似工程的投标人名称、合同价款、时间等需要明示的内容,否则不予认可。

(8)本工程执行连建发(2019)182号文:投标企业参加建设工程投标前,应自觉、主动查验本企业资质动态监管情况,核查结果不合格的,不得参加投标。若投标有效期内企业资质核查不合格,招标人将取消其中标资格,并重新确定中标人。对于弄虚作假的企业,将按规定记录失信行为,并取消其投标、中标资格,不予退还投标保证金。

(9)投标人承诺书(详见招标文件第八章投标文件格式8.1、8.2、8.3、8.4、等承诺,详见格式)。

(10)本项目不接受联合体投标。

(11)本次招标实行资格后审,资格后审不合格的投标人投标文件将按无效标处理。

(12)本工程执行《关于在公共资源交易领域的招标投标活动中建立对失信被执行人联合惩戒机制的实施意见》苏信用办(2018)23号。

(13)其他要求:

1.招标人谢绝挂靠单位参与本工程的投标。如在招投标过程中发现挂靠单位投标并中标的,将取消其中标资格,没收投标保证金;如发现挂靠单位报名,将取消其投标资格。

2.投标企业整个招投标活动所提交的所有材料都必须是真实有效的,一旦发现有虚假行为,招标人将立即中止该投标人的投标活动,并上报相关主管部门追究责任。

4. 投标报名及招标文件的获取

4.1招标文件获取时间为:2021 年8月18日至2021 年9月9日10时 00 分

4.2招标文件的获取方式:投标人使用“CA数字证书”登录“连云港市公共资源交易平台”获取;

投标单位进入“连云港市公共资源交易网”, 通过CA证书登录【交易平台】—【综合交易】—【投标人】,进入“交易乙方”,在“招标文件下载”中,进行所参加项目“信息录入”、“下载招标文件”,具体流程详见下载专区“综合交易投标人操作手册”;没有按规定在网上完成“信息录入”、“下载招标文件”投标单位,其投标文件将被拒收,由此造成的不利后果由投标单位自行承担。【投标过程中遇到软件问题可联系何工:18452501766】

4.3招标文件每套售价为500元/标段,售后不退。请在招标文件下载截止时间前下载文件。(提醒:请投标申请人务必在规定截止时间前获取招标文件,否则将导致投标失败!)

4.4未按本公告要求获取招标文件的投标人,招标人有权拒绝其投标。

特别提醒:1、如果您是第一次在连云港地区进行网络投标,请您先联系CA公司办理网络投标密码锁和企业电子签章,以上步骤不进行或操作不完善,可能导致无法购买招标文件。

2、投标过程中遇到软件问题可联系相应软件公司寻求技术支持。

软件公司名称

联系人

联系电话

 

国泰新点

黄桂松

15896100880

何工

18452501766

朱家旺

18905137238

中国金融认证中心CFCA(连云港市海州区凌州东路9号政务服务中心3号楼一楼大厅CFCA窗口)

孙莉莉

耿立珍

18005133017

17751872787

江苏省国信数字科技有限公司(连云港市海州区凌州东路9号政务服务中心3号楼一楼[国信CA]窗口)

周梦雪

魏飞

15298603303(微信同号)

18261319191(微信同号)

 

5. 投标文件的递交

5.1 投标截止时间为:2021 年9月9日10时 00 分。

5.2递交地点:投标人自行选择任意地点参加远程开标会。(本工程采用远程不见面交易模式)。

注:1、投标人开标前完成网上投标文件上传,本项目采用不见面方式开标。

2、电子标书制作:投标人请到连云港市公共资源交易平台综合交易新投标人处下载投标文件制作工具,用于打开招标文件并制作投标文件。

3、为落实省级相关部门不见面开标交易模式,各投标单位在获取招标文件前应慎重考虑并确保在招标文件规定的时间完成投标文件。投标人务必采用最新制作工具进行制作,投标单位制作投标文件时如遇投标工具中投标格式与招标文件不一致,请投标单位按照招标文件中投标格式要求编制一份投标文件资料添加在投标工具的【投标其他文件】中。如因投标人未按要求执行造成的一切后果(包括废标)均由投标人自行承担。

4、为顺利实现本项目开评标的远程交互,建议投标人配置的硬件设施有:高配置电脑、高速稳定的网络、电源(不间断)、CA锁、音视频设备(话筒、耳麦、高清摄像头、音响)、扫描仪、打印机、传真机、高清视频监控等;建议投标人具备的软件设施有:IE浏览器(版本必须为11及11以上),江苏省互联互通驱动。为保证交互效果,建议投标人选择封闭安静的地点参与远程交互。因投标人自身软硬件配备不齐全或发生故障等问题而导致在交互过程中出现不稳定或中断等情况的,由投标人自身承担一切后果。

6. 踏勘现场和投标预备会

招标人不统一组织踏勘现场和投标预备会。投标人根据需要自行踏勘现场,所产生的费用自理,安全责任由投标人负责。

7. 评标办法(综合积分法)

评委会按综合积分法进行评审。按100分法对下列投标文件的主要内容进行综合打分,按从高至低顺序排列,推荐排名前3名的投标人为中标候选人。

综合评分细则

分值构成

(总分100分)

投 标 报 价: 72分(含平衡报价5分)

施工组织设计: 20分

企业业绩信誉: 8分

 

评标基准价

计算方法投标报价

(67分)

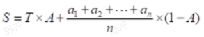
1、


T 为最高限价;A 为最高限价权重系数,取 0.7、0.75、0.8 三者选一, M 为经算术修正后的投标人报价的算术平均值(当有效投标数 n≤4 时,取所有有效投标人报价的算术平均值;当有效投标数 7≥n≥5 时,取剔除其中 1 个最高价和 1 个最低价后的算术平均值;当有效投标数10≥ n≥8 时,取剔除其中 2 个最高价和 2 个最低价后的算术平均值;)当有效投标数n≥11 时,取剔除其中 2个最高价和 3 个最低价后的算术平均值;)。

  评标基准价

2、投标报价(算数修正后,下同)在评标基准价 100% (含 100%)~98%(含 98%)的得 59分。

3、投标报价在评标基准价 98%~96%(含 96%)范围内的,每低 1 个百分点,扣 0.5 分。

4、低于 96%的,低于 96%的部分,每低 1 个百分点,扣1.0 分。

5、投标报价在评标基准价100%(不含100%)以上的,每高 1 个百分点,扣 1分。

上述计算结果得分四舍五入,小数点后保留 2 位。最低得 0 分。

平衡性(5分)

(2)报价的平衡性、合理性(5分)

若投标人的主要分组投标价超出最高限价相应分组价(±5%)(每发现一项,在报价得分的基础上扣1.0分,扣完为止。

施工组织(20分)

(1)工场布置和其它临时设施设计合理(1分)。工场布置合理、临时设施设计合理1分;无描述不得分。

(2)施工围堰填筑、防护,降、排水,措施合理、方案可行 (1分)。有严重缺陷,方案不可行或无描述,得0分。

(3)施工进度计划合理,工期保证措施可行(2分)。计划合理1分;措施可行,有工期计划网络图或横道图1分。有缺陷,适当扣分,最少得0分。

(4)施工机具设备及劳动力配置合理,能满足施工强度要求(2分)。施工机具配置合理1分,有缺陷,适当扣分,最少得0分;劳动力配置合理1分, 有缺陷,适当扣分,最少得0分。

(5)土地平整施工工艺合理(1分)。有缺陷,适当扣分,最少得0分。

(6)基础处理方案(1分):基础处理施工工艺合理、质量有保证(1分)。有缺陷,适当扣分,最少得0分。

(7)混凝土生产、浇筑工艺及组织合理,能满足施工需要并能保证混凝土内外质量,有特殊要求部位方案合理,措施可行(2分)。有缺陷,适当扣分;不合理、不满足需要,得0分。

(8)泵站(含机电设备)施工工艺合理、质量有保证(2分)。泵站土建施工方案1分;机电设备安装方案1分;有缺陷,适当扣分,最少得0分。

(9)管道灌溉施工工艺合理、质量有保证(1分)。有缺陷,适当扣分,最少得0分。

(10)防渗渠施工工艺合理、质量有保证(1分)。有缺陷,适当扣分,最少得0分。

(11)其他渠系配套施工工艺合理、质量有保证(1分)。含桥梁、渡槽、涵洞,有缺陷,适当扣分,最少得0分。

(12)道路施工工艺合理、质量有保证(1分)。有缺陷,适当扣分,最少得0分。 

(13)质量保证措施(2分)。质量保证体系健全、方案可行、措施得力2.0分,有缺陷,适当扣分,最少得0分。

(14)安全文明生产、环境保护、防疫措施(2分)。安全文明生产措施有保证0.5分;有缺陷,适当扣分,最少得0分;环境保护措施可行0.5分,有缺陷,适当扣分,最少得0分;防疫措施可行1.0分,有缺陷,适当扣分,最少得0分。

企业业绩

(8分)

企业近五年(2016年1月1日至今,以合同签订日期为准)有担任单项合同额不少于700万元的类似工程业绩(高标准农田建设项目、农业综合开发项目、农田水利项目、土地整理工程、千亿斤粮食工程等任意一项),以合同签订时间为准,金额以中标通知书金额为准,需同时提供中标通知书、施工合同、验收证明原件扫描件上传电子投标文件,提供的证明材料必须能清晰的表明类似工程的投标人名称、合同价款、时间等需要明示的内容,否则不予认可;承担一项得1分,最多得5分。

项目经理近五年(2016年1月1日至今,以合同签订日期为准)有担任单项合同额不少于700万元的类似工程业绩(高标准农田建设项目、农业综合开发项目、农田水利项目、土地整理工程、千亿斤粮食工程等任意一项),以合同签订时间为准,金额以中标通知书金额为准,需同时提供中标通知书、施工合同、验收证明原件扫描件上传电子投标文件,提供的证明材料必须能清晰的表明类似工程的投标人名称、合同价款、时间等需要明示的内容,否则不予认可;承担一项得1分,最多得3分。

注:以上企业业绩与项目经理业绩不重复计取。

 

8、组建项目部

中标单位签订合同3日内,提交开工申请资料,10日内必须组建项目部并开工建设,10日内未组建,招标人有权清退中标单位,造成的一切后果均由中标单位承担。投标文件中所列主要管理人员(项目经理、技术负责人、专职安全员)必须驻场。

9、 发布公告的媒介

本次招标公告同时在江苏建设工程招标网、连云港市公共资源交易网上发布。

10、联系方式

招 标 人:江苏五图河农场有限公司          招标代理机构:中天昊建设管理集团股份有限公司

地    址:连云港市灌云县七道沟          地    址:连云港市海州区朝阳东路           

          55号泰达大厦A座8楼            

邮    编:222000                         邮    编:222000

联 系 人:张工                           联 系 人:张工 

电    话:0518-88613024                  电    话:15371505633 

电子邮箱:  /                            电子邮箱:  /                  

                                                          2021年 8 月18日

注意事项:

1、如果您是第一次在连云港地区进行网络投标(网络系统7.0版),请您先联系江苏CA公司和江苏翔晟办理网络投标密码锁和企业电子签章,然后联系国泰新点软件公司进行密码锁的激活,用密码锁登陆相关网站会员系统进行诚信信息库的操作,最后携带相关原件到连云港市公共资源交易中心一楼进行诚信库审核,以上步骤不进行或操作不完善,可能导致无法进场交易。

 

连云港市公共资源交易中心地址:连云港市海州区凌洲东路9号3号楼

中国金融认证中心地址:

连云港市海州区凌州东路9号政务服务中心3号楼一楼大厅CFCA窗口

江苏省国信数字科技有限公司地址:

连云港市海州区凌州东路9号政务服务中心3号楼一楼[国信CA]窗口

密码锁激活:

登录网站:连云港市公共资源交易网

软件公司名称

联系人

联系电话

新点软件

黄桂松

朱加旺

张海南

15896100880

15161373079

18505182641

广联达

郑磊

刘书丹

13812332568

18651253807

中国金融认证中心

CA名称:CFCA

孙丽丽

耿立珍

公司客服

18005133017(微信同号)

17751872787(微信同号)

4001662366

江苏省国信数字科技有限公司

CA名称:国信CA

周梦雪

魏飞

客服电话

15298603303

18261319191

4000251010


 2、招(投)标文件制作工具使用说明
    1.本次招标要求网络上传投标文件, 不再要求投标人准备纸质文件。中标单位在领取中标通知书时需提供5份完整投标文件,其中正本一份副本四份。

2.投标截止时间前完成网上投标文件上传。

3.电子标书制作:投标人请到连云港市公共资源交易网“投标人登入”栏下载投标文件制作工具,并下载CA锁驱动、CAD控件等应用程序,用于打开招标文件并制作投标文件。

国泰新点和广联达招投标文件制作工具均已衔接连云港市公共资源交易7.0版招投标系统平台,投标人可自行选择使用。投标过程中遇到软件问题可联系相应软件公司寻求技术支持。

联系方式如下:

软件公司名称

联系人

联系电话

广联达

郑磊

13812332568

刘书丹

18651253807

 

国泰新点

黄桂松

15896100880

朱家旺

18905137238

张海南

18505182641

 

疫情防控事项要求:

1、根据连云港市新冠疫情防控要求,来连、返连人员必须申请使用“苏康码”,江苏省“苏康码”面向所有人开放,持绿码者,可在本行政区域内通行,进出公共场所和乘坐公共交通工具。开标当天需提前到达开标地点,提供本人身份证原件、“苏康码”绿码和新冠疫苗接种证明,配合中心做好疫情防控检查与登记等工作后递交所有投标文件材料,否则不得进入,一切后果自负。

2、根据连云港市新冠疫情防控要求,结合灌云县实际情况,从即日起,凡进入灌云县公共资源交易中心办理业务的工作人员(含专家评委,代理机构,建设单位,投标单位),必须申请使用“苏康码”并提供新冠疫苗接种证明,方可进入开标室,评标室,甲方资格审查室,否则请自行回避。

3、进入开标现场人员,应服从现场工作人员安排,遵守会场纪律,适当保持与他人间隔距离,开标结束后请及时离场。

4、建议乘坐“点对点”特定交通工具来连投标。

5、各投标单位参加开标会议签到的授权委托代理人或者法定代表人请佩戴好口罩等防护用品,不佩戴口罩或者不提供“苏康码”绿码和新冠疫苗接种证明等不得参加开标会议签到。

6、不配合防疫防控工作管理的视为放弃本次投标,因此造成的一切后果由投标单位自行承担。

7、对于开标现场出现发热、非绿码、无新冠疫苗接种证明等人员的情况,均由采购人(招标人)负责处理。

“苏康码”获取:

第一种方法,在手机上下载“江苏政务服务”app。在首页找到“苏康码”按键,点击“苏康码”,再点击“进入应用”,弹出“苏康码”申报页面,开始申报。

第二种方法,可以通过支付宝软件。在支付宝中搜索“江苏政务服务”,找到“苏康码”,然后开始申报。

特别提醒:

项目参与者逗留或者途经中高风险地区,入灌(灌云县)后需到集中隔离区隔离 14 天,开标时候提供入灌(灌云县)前运动轨迹查询结果、苏康码绿码及开标截止时间前 7 天内核酸检测阴性证明方可进入开标区;项目参与者逗留或者途经低风险地区,开标时候提供入灌(灌云县)前运动轨迹查询结果、苏康码绿码及开标截止时间前 7 天内核酸检测阴性证明方可进入开标区。其他一律提供入灌(灌云县)前运动轨迹查询结果、苏康码绿码、新冠疫苗接种证明,项目参与者包含但不局限于项目经理、委托代理人、法定代表人、招标代理工作人员、评委及其他与项目有关的人员。

附件:
47c1cf7c-a983-4868-a9b9-a5a9141c6bad