首页 > 交易信息 > 其他行业 > 招标公告

[招标公告]关于东海县2021年大中型水库移民后期扶持项目石湖项目区施工的公告

【信息发布时间:2021-09-03 14:18  阅读次数:】 【我要打印】 【关闭】

东海县2021年大中型水库移民后期扶持项目石湖项目区施工

招标公告

      标段编号:320722-ZHJY-DHYMHF2021SHSG-1

1.招标条件

东海县2021年大中型水库移民后期扶持项目石湖项目区施工已经东水移【2021】26号文批准建设。招标人为东海县石湖乡人民政府,建设资金为水库移民后期扶持资金,现已落实。江苏华睿工程咨询有限公司受招标人委托负责本项目的招标事宜,项目已具备招标条件,现对东海县2021年大中型水库移民后期扶持项目石湖项目区施工进行公开招标,欢迎具备资格条件的投标人参加投标。

2.工程概况和招标范围

2.1工程概况:东海县2021年大中型水库移民后期扶持项目石湖项目区施工位于东海县石湖乡水库村、贺庄村。

2.2工程概算:约161.2万元

2.3标段划分:本次招标为一个施工标段,具体详见招标文件及工程量清单。

主要建设内容为:

1. 石湖乡贺庄村新建道路及排水沟工程(项目编号:东海HF2021015):(1)道路工程:新建4.0m宽水泥砼道路1100m,共计4400㎡。(2)管道工程:铺设Φ100cm钢筋砼管道30m。(3)拦水坝工程:拆建拦水坝1座,规格为L=26m,B=1.5m,H=1.8m。

2. 石湖乡水库村环境整治工程(项目编号:东海HF2021016):(1)道路工程:新建4m宽砼道路长130m;新建3.5m宽砼道路长85m;新建3m宽砼道路长91m;共计1090.5㎡。(2)场地硬化工程:三处需场地硬化,场地1长40m,宽9m;场地2长24m,宽13.5m;场地3长17m,宽7m;共计803㎡。(3)排水管涵:Φ80cm*30m。(4)卫生室:新建卫生室层高3.6m,建筑面积为146.5㎡。

2.3计划工期:工期60日历天,具体开工时间以监理工程师签发的开工令为准。

2.4质量标准:合格。

3.投标人资格要求

3.1投标人有独立订立合同的能力,具有有效的营业执照及企业基本账户《开户许可证》(或基本存款账户信息材料)。

3.2投标人具有水利水电工程施工总承包或市政公用工程施工总承包三级及以上资质(有效期内),且具有安全生产许可证(有效期内)。

3.3投标人拟任的项目经理须具备水利水电工程专业或市政工程专业二级以上(含二级)注册建造师资格(有效期内)。本工程执行连建发(2018)95号文,投标人确定的项目负责人须全程参与招投标过程(含异议、投诉)。

3.4投标人拟任的项目技术负责人具备工程类中级及以上技术职称。

3.5投标人法定代表人、项目经理和专职安全管理人员须持有有效的行政主管部门颁发的安全生产考核证书(分别为A、B、C三类);

3.6提供拟投入本工程的项目负责人(项目经理)和技术负责人必须为本单位正式职工,提供劳动合同(有效期内)同时提供2021年02月至2021年07月连续6个月及以上由社保机构出具的社保缴纳证明(加盖社保中心章或社保中心参保缴费证明电子专用章)等证明材料;

3.7本次招标不接受联合体投标。

3.8本次招标实行资格后审,资格后审不合格的投标人投标文件将按无效标处理。

注:根据《江苏省国有资金投资工程建设项目招标投标管理办法》(第120号令)中第十五条规定(三)投标人在履行招标人以往的工程合同中存在严重违约行为。招标人将拒绝投标人参加投标。在连云港市其他县区2021年同类项目被拒绝投标的,本招标人将拒绝投标人参加投标。

4.投标报名及招标文件的获取

4.1报名时间:2021年09月03日至2021年09月09日

4.2招标文件的获取方式:投标人使用“江苏CA数字证书”登录“连云港市公共资源交易平台”获取;

投标单位进入“连云港市公共资源交易网”,通过CA证书登录【交易平台】—【综合交易】—【投标人】,进入“交易乙方”,在“招标文件下载”中,进行所参加项目“信息录入”、“下载招标文件”,具体流程详见下载专区“综合交易投标人操作手册”;没有按规定在网上完成“信息录入”、“下载招标文件”投标单位,其投标文件将被拒收,由此造成的不利后果由投标单位自行承担。【投标过程中遇到软件问题可联系何工:18452501766】

电子标书制作:投标人请到连云港市公共资源交易平台综合交易新投标人处下载投标文件制作工具,用于打开招标文件并制作投标文件。

4.3招标文件每套售价为500元/标段,售后不退。请在招标文件下载截止时间前下载文件。(提醒:请投标申请人务必在规定截止时间前获取招标文件,否则将导致投标失败!)

    4.4未按本公告要求获取招标文件的投标人,招标人有权拒绝其投标。

特别提醒:1、如果您是第一次在东海地区进行网络投标,请您先联系CA公司办理网络投标密码锁和企业电子签章,以上步骤不进行或操作不完善,可能导致无法购买招标文件。

2、投标过程中遇到软件问题可联系相应软件公司寻求技术支持。

软件公司名称

联系人

联系电话

 

国泰新点

黄桂松

15896100880

何工

18452501766

朱家旺

18905137238

中国金融认证中心CFCA(连云港市海州区凌州东路9号政务服务中心3号楼一楼大厅CFCA窗口)

 孙莉莉

耿立珍

18005133017

17751872787

江苏省国信数字科技有限公司(连云港市海州区凌州东路9号政务服务中心3号楼一楼[国信CA]窗口)

周梦雪

魏飞

15298603303(微信同号)

18261319191(微信同号)

 

5.投标文件的递交

5.1投标截止时间为:2021年09月24日09时00分。

5.2递交地点:投标人自行选择任意地点参加远程开标会。(本工程采用远程不见面交易模式)。

注:1、投标人开标前完成网上投标文件上传,本项目采用不见面方式开标。

2、电子标书制作:投标人请到连云港市公共资源交易平台综合交易新投标人处下载投标文件制作工具,用于打开招标文件并制作投标文件。

3、为落实省级相关部门不见面开标交易模式,各投标单位在获取招标文件前应慎重考虑并确保在招标文件规定的时间完成投标文件。投标人务必采用最新制作工具进行制作,投标单位制作投标文件时如遇投标工具中投标格式与招标文件不一致,请投标单位按照招标文件中投标格式要求编制一份投标文件资料添加在投标工具的【投标其他文件】中。如因投标人未按要求执行造成的一切后果(包括废标)均由投标人自行承担。

4、为顺利实现本项目开评标的远程交互,建议投标人配置的硬件设施有:高配置电脑、高速稳定的网络、电源(不间断)、CA锁、音视频设备(话筒、耳麦、高清摄像头、音响)、扫描仪、打印机、传真机、高清视频监控等;建议投标人具备的软件设施有:IE浏览器(版本必须为11及11以上),江苏省互联互通驱动。为保证交互效果,建议投标人选择封闭安静的地点参与远程交互。因投标人自身软硬件配备不齐全或发生故障等问题而导致在交互过程中出现不稳定或中断等情况的,由投标人自身承担一切后果。

6.踏勘现场和投标预备会

招标人不统一组织踏勘现场和投标预备会。投标人根据需要自行踏勘现场,所产生的费用自理,安全责任由投标人负责。

7.评标办法(综合积分法)

评委会按综合积分法进行评审。按100分法对下列投标文件的主要内容进行综合打分,按从高至低顺序排列,推荐排名前3名的投标人为中标候选人。

                综合积分细则

分值构成

(总分100分)

投标报价:65分

施工组织设计:30分

投标人业绩及信誉:5分

评标基准价

计算方法

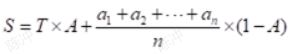
本工程采用评标基准价,评标基准价为:

T为最高限价,A为业主招标控制价权重系数,取(0.5、0.55、0.6)三者选一,由招标人代表现场随即抽取确认(剔除无效标,若有效标多于10家,去除经算术修正后的最高和最低报价各二个;多于5家且少于或等于10家,去除最高和最低报价各一个;少于或等于5家全部参与计算)。

 

本工程设最高限价,投标报价超过最高限价或分项限价的作无效标处理。

最高限价:1611726.38元

其中贺庄村:936605.49元

水库村:675120.89元

投标报价

(65分)

(1)报价分65分

投标价(算术修正后,下同):在评标基准价98%-100%(含98%、100%)之间得65分,并以此为基数,进行下面各项的打分;

高于100%的,在65分的基础上每高1个百分点扣0.9分。

低于98%的,在65分的基础上每低1个百分点扣0.6分。

中间按内插计算。保留小数点后2位数字,小数点后第三位数字“四舍五入”。

最低得分为零分。

施工组织设计

(30分)

(1)工场布置和临时设施设计合理(2.0分)。工场布置合理1.0分;临时设施设计合理1.0分。有缺陷,酌情扣分,最少得0分。

(2)施工进度计划合理,工期保证措施可行(3.0分)。计划合理1.5分;措施可行,有工期计划网络图或横道图1.5分。有缺陷,适当扣分,最少得0分。

(3)施工机具设备及劳动力配置合理,能满足施工强度要求(2.0分)。施工机具配置合理1.0分,有缺陷,适当扣分,最少得0分;劳动力配置合理1.0分,有缺陷,适当扣分,最少得0分。

(4)项目经理及技术人员配置合理,有相应资质证书(2.0分)。工程专业技术人员配备齐全1.5分;技术负责人具有水利工程专业高级及以上职称0.5分。

(5)砌体工程施工工艺合理,质量有保证(2.0分)。有缺陷,酌情扣分,最少得0分。

(6)混凝土生产、浇筑工艺及组织合理,能满足施工需要并能保证混凝土内外质量,有特殊要求部位方案合理,措施可行(2.0分)。有缺陷,适当扣分;不合理、不满足需要,得0分。

(7)混凝土道路工程施工工艺合理、质量有保证(3.0分)。有缺陷,酌情扣分,最少得0分。

(8)房建工程施工工艺合理,质量有保证(3.0分)。有缺陷,酌情扣分,最少得0分。

(9)下水道施工工艺合理,质量有保证(2.0分)。下水道施工方案合理可行的得2.0分,有缺陷,酌情扣分,最少得0分。

(10)设备采购质量控制措施可行、安装质量有保证、调试等符合规范、规定要求(2.0分)。有缺陷,适当扣分,最少得0分。

(11)质量保证措施(2.0分)。质量保证体系健全、方案可行、措施得力2.0分,有缺陷,适当扣分,最少得0分。

(12)对清障和地方矛盾处理有得力措施(2.0分)。对清障和地方矛盾处理有得力措施,方案可行,得2.0分。有缺陷,适当扣分,最少得0分。

(13)安全文明生产、环境保护、防疫措施(3.0分)。安全文明生产措施有保证1.0分;有缺陷,适当扣分,最少得0分;环境保护措施可行1.0分,有缺陷,适当扣分,最少得0分;防疫措施可行1.0分,有缺陷,适当扣分,最少得0分。

注:投标人在编制施工组织设计时,内容要简单明了,具备针对性;为方便评委评审,施工组织设计篇幅不得超过120页,超过120页的扣2分。

投标人业绩及信誉(5分)

1、有银行出具的有效对账单(不低于50万元)及有投标企业出具用于本工程不低于50万流动资金的承诺(格式自拟)两者同时具备得2.0分,否则不得分。(附报名开始至开标前一天止的任意一天单位基本账户的银行对账单余额不得低于50万元,开标时须提供原件扫描件,没有提供原件扫描件及原件达不到要求的不得分)。

2、投标人近3年内(2018年1月1日至今),承担过合同额50万元及以上类似工程业绩(水库移民、农田水利项目等任意一项)业绩的,有一个得1.5分,最多得3分;

注:此项最多得3分;须提供有效的证明材料包括中标通知书、施工合同、竣工验收资料或完工证明,三者缺一不可,须提供相应的证书原件扫描件,否则不计分。

8、组建项目部

中标单位签订合同3日内,提交开工申请资料,10日内必须组建项目部并开工建设,10日内未组建,招标人有权清退中标单位,造成的一切后果均由中标单位承担。投标文件中所列主要管理人员(项目经理、技术负责人、专职安全员)必须驻场。

 

9.发布公告的媒介

本次招标公告在连云港市公共资源交易中心网上发布。

 

10.联系方式

招标人:东海县石湖乡人民政府

地址:东海县石湖乡人民政府院内

联系人:张金锁

联系电话:15161356109

招标代理:江苏华睿工程咨询有限公司

地址:东海县开发区富华路南侧水晶二路16-2号

联系人:李彩

联系电话:15051150549

2021年09月03日

 

附件:
e766b6b3-d4c0-404e-8561-91cb1c6b7b8f