首页 > 交易信息 > 其他行业 > 招标公告

[招标公告]关于2015 年连云港市东海县洪庄镇沟南等村省以上投资(耕地开垦费)土地整治项目结余资金工程的公告

【信息发布时间:2021-09-09 20:48  阅读次数:】 【我要打印】 【关闭】

2015 年连云港市东海县洪庄镇沟南等村省以上投资(耕地开垦费)

土地整治项目结余资金工程

施工招标公告

 

标段编号:320722-ZHJY-HF20210909-1

1. 招标条件

2015 年连云港市东海县洪庄镇沟南等村省以上投资(耕地开垦费)土地整治项目结余资金工程已经苏财建【2015】447号文件批准建设,招标人为东海县洪庄镇人民政府,建设资金来源为财政资金,现已落实,江苏华恒工程项目咨询管理有限公司受招标人委托负责本项目的招标事宜,项目已具备招标条件,现对2015 年连云港市东海县洪庄镇沟南等村省以上投资(耕地开垦费)土地整治项目结余资金工程施工进行公开招标,欢迎具备资格条件的投标人参加投标。

2. 项目概况与招标范围

2.1项目概况:2015 年连云港市东海县洪庄镇沟南等村省以上投资(耕地开垦费)土地整治项目结余资金工程共分为一个标段,具体详见招标文件及工程量清单。

主要建设内容如下:

1、洪庄镇沟南等村新建道路工程(东海HF2021014):①沟南村:斗沟 1,2320米;斗沟 2,262米;②新建7条C30混凝土道路,王庄村3条宽3.5米,长2169米;陈西村2条宽3米,长1097米;阿湖水库1条宽3.5米,长261米;沟南村1条宽4米,长805米;总计15016平方米。

2.2本项目计划施工工期为:45日历天,具体开工时间以总监签发的开工令为准。

2.3质量要求:执行国家现行标准,等级为合格。

2.4合同估算价:约 189 万元。

3. 投标人资格要求

(1)投标人有独立订立合同的能力,具有有效的营业执照及企业基本账户《开户许可证》(或基本存款账户信息材料);

(2)投标人需具有水利水电工程施工总承包叁级(含)以上资质(有效期内),具有省、部级建设行政主管部门颁发的安全生产许可证的企业法人(有效期内); 

(3)投标人拟任的项目经理须具备水利水电工程专业二级及以上注册建造师资格(有效期内);

(4)投标人拟任的项目技术负责人具备工程类中级及以上技术职称;

(5)投标人法定代表人(A类)、拟任项目经理(B类)、拟任专职安全员(C类)具备安全生产考核合格证书(有效期内);

(6)不拖欠农民工工资书面承诺(格式见招标文件);

(7)要求提供拟投入本工程的项目经理、技术负责人、专职安全员与投标人签订的劳动合同及2021年03月至2021年08月连续缴费6个月的社会保险缴费证明;

(8)本项目不接受联合体投标;

(9)本次招标实行资格后审,资格后审不合格的投标人投标文件将按无效标处理。

注:根据《江苏省国有资金投资工程建设项目招标投标管理办法》(第120号令)中第十五条规定(三)投标人在履行招标人以往的工程合同中存在严重违约行为。招标人将拒绝投标人参加投标。

4. 投标报名及招标文件的获取

4.1招标文件获取时间为:2021年9月9日至2021年9月14日

4.2招标文件的获取方式:投标人使用“CA数字证书”登录“连云港市公共资源交易平台”获取;

投标单位进入“连云港市公共资源交易网”, 通过CA证书登录【交易平台】—【综合交易】—【投标人】,进入“交易乙方”,在“招标文件下载”中,进行所参加项目“信息录入”、“下载招标文件”,具体流程详见下载专区“综合交易投标人操作手册”;没有按规定在网上完成“信息录入”、“下载招标文件”投标单位,其投标文件将被拒收,由此造成的不利后果由投标单位自行承担。【投标过程中遇到软件问题可联系何工:18452501766】

4.3招标文件每套售价为500元/标段,售后不退。请在招标文件下载截止时间前下载文件。(提醒:请投标申请人务必在规定截止时间前获取招标文件,否则将导致投标失败!)

4.4未按本公告要求获取招标文件的投标人,招标人有权拒绝其投标。

特别提醒:1、如果您是第一次在连云港地区进行网络投标,请您先联系CA公司办理网络投标密码锁和企业电子签章,以上步骤不进行或操作不完善,可能导致无法购买招标文件。

2、投标过程中遇到软件问题可联系相应软件公司寻求技术支持。

软件公司名称

联系人

联系电话

 

国泰新点

黄桂松

15896100880

何工

18452501766

朱家旺

18905137238

中国金融认证中心CFCA(连云港市海州区凌州东路9号政务服务中心3号楼一楼大厅CFCA窗口)

孙莉莉

耿立珍

18005133017

17751872787

江苏省国信数字科技有限公司(连云港市海州区凌州东路9号政务服务中心3号楼一楼[国信CA]窗口)

周梦雪

魏飞

15298603303(微信同号)

18261319191(微信同号)

 

5. 投标文件的递交

5.1 投标截止时间为:2021年9月30日09时00分。

5.2递交地点:投标人自行选择任意地点参加远程开标会。(本工程采用远程不见面交易模式)。

注:1、投标人开标前完成网上投标文件上传,本项目采用不见面方式开标。

2、电子标书制作:投标人请到连云港市公共资源交易平台综合交易新投标人处下载投标文件制作工具,用于打开招标文件并制作投标文件。

3、为落实省级相关部门不见面开标交易模式,各投标单位在获取招标文件前应慎重考虑并确保在招标文件规定的时间完成投标文件。投标人务必采用最新制作工具进行制作,投标单位制作投标文件时如遇投标工具中投标格式与招标文件不一致,请投标单位按照招标文件中投标格式要求编制一份投标文件资料添加在投标工具的【投标其他文件】中。如因投标人未按要求执行造成的一切后果(包括废标)均由投标人自行承担。

4、为顺利实现本项目开评标的远程交互,建议投标人配置的硬件设施有:高配置电脑、高速稳定的网络、电源(不间断)、CA锁、音视频设备(话筒、耳麦、高清摄像头、音响)、扫描仪、打印机、传真机、高清视频监控等;建议投标人具备的软件设施有:IE浏览器(版本必须为11及11以上),江苏省互联互通驱动。为保证交互效果,建议投标人选择封闭安静的地点参与远程交互。因投标人自身软硬件配备不齐全或发生故障等问题而导致在交互过程中出现不稳定或中断等情况的,由投标人自身承担一切后果。

6. 踏勘现场和投标预备会

招标人不统一组织踏勘现场和投标预备会。投标人根据需要自行踏勘现场,所产生的费用自理,安全责任由投标人负责。

7. 评标办法

本项目采用综合评分法。

条款号

评审因素

评审标准

2.1.1

 

初步评审标准

重大偏差

评审

没有按照招标文件要求提供投标保证金

投标文件没有投标人法定代表人或授权代表签字和加盖单位公章

投标文件载明的招标项目完成期限超过招标文件规定的期限

明显不符合技术规格、技术标准的要求

投标文件载明的货物包装方式、检验标准和方法等不符合招标文件的要求

投标文件附有招标人不能接受的条件

不符合招标文件中规定的其他实质性要求

2.2.1

分值构成

(总分

100分)

 

投 标 报 价: 70分

施工组织设计:25分

投标人类似业绩:5分

2.2.2

复合标底

计算方法

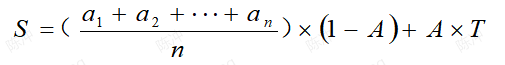
本工程采用复合标底,复合标底价为:

有效标,n>10时,为剔除投标人两个最高报价和两个最低报价后的各投标报价,5<n≤10时,为剔除投标人最高报价和最低报价后的各投标报价,n≤5时,无需剔除。)

T为最高限价,A为权重系数取0.7,0.75,0.8(开标会上随机抽取)。

最高限价:188.735351 万元

投标报价高于最高限价作无效标处理。

2.2.3(1)

投标报价

(70分)

(1)报价分70分

投标价(算术修正后,下同):

在复合标底98%~100%的得70分,并以此为基数,进行下面各项的打分;

高于100%的,在70分的基础上每高1个百分点扣0.5分。

低于98%的,在70分的基础上每低1个百分点扣0.3分。

中间按内插计算。保留小数点后2位数字,小数点后第三位数字“四舍五入”。

最低得分为零分。

2.2.3(2)

施工组织设计

(25分)

1、工场布置和临时设施(2.0分)。工场布置合理1.0分;临时设施设计合理1.0分。有缺陷,酌情扣分,最少得0分。

2、施工进度计划与工期保证措施(3.0分)。计划合理1.5分,措施可行1.5分。有缺陷,酌情扣分,最少得0分。

3、施工机具设备及劳动力配置(3.0分)。施工机具配置合理能满足施工强度要求1.5分,有缺陷,酌情扣分,最少得0分;劳动力配置合理1.5分,有缺陷,酌情扣分,最少得0分。

4、技术人员配置(3.0分)。工程专业技术人员配置齐全3.0分,有缺陷,适当扣分,最少得0分。

5、土方开挖回填措施得当(2.0分)。有缺陷,适当扣分,最少得0分。

6、砼道路工程施工工艺合理、质量有保证,有特殊要求部位方案合理,措施可行(4.0分)。有缺陷,适当扣分,最少得0分。

7、对清障和地方矛盾处理有得力措施(2.0分)。有缺陷,适当扣分,最少得0分。

8、质量保证措施(3.0分)。质量保证体系健全的1.5分,有缺陷,酌情扣分,最少得0分;质量保证方案可行、措施得力1.5分,有缺陷,酌情扣分,最少得0分。

9、安全文明措施,环境保护(3.0分)。安全文明措施有保证1.5分;环境保护措施有保证1.5分;有缺陷,适当扣分,最少得0分。

2.2.3(3)

投标人类似业绩

(5分)

1、有银行出具的有效对账单(不低于50万元)及有投标企业出具用于本工程不低于50万流动资金的承诺(格式自拟)得2.0分,两者同时具备得2.0分,否则不得分。(附自报名结束日起至开标前一工作日的任意一天单位基本账户的银行对账单余额不得低于50万元,开标时须提供原件,没有提供原件及原件达不到要求的不得分)。

2、水利安全生产标准化:一级得1分;二级得0.8分;三级得0.5分;没有不得分

3、投标人近3年内(2018年7月1日至今)承担过合同额100万元及以上类似(土地整治)业绩的,有一个得1分。最多得2分;

注:须同时提供中标通知书、合同协议书、合同完工验收鉴定书或竣工验收证明书证明资料扫描件并提供相应的证明原件,否则不得分。

8、组建项目部

中标单位签订合同3日内,提交开工申请资料,10日内必须组建项目部并开工建设,10日内未组建,招标人有权清退中标单位,造成的一切后果均由中标单位承担。投标文件中所列主要管理人员(项目经理、技术负责人、专职安全员)必须驻场。

9、 发布公告的媒介

本次招标公告在连云港市公共资源交易网上发布。

10、联系方式

招标人:东海县洪庄镇人民政府

地址: 东海县洪庄镇驻地

联系人:李明 

联系电话:13851395833

招标代理人:江苏华恒工程项目咨询管理有限公司

地 址:东海县牛山街道富华西路88世贸公馆A座703

联 系人:李然然

电 话:18961191071

邮  箱:23221275@qq.com                                         

附件:
5beac70c-8680-47a1-a939-f4eccbb77464