首页 > 交易信息 > 其他行业 > 招标公告

[招标公告]关于东海县2021年度大中型水库移民后期扶持项目石梁河镇南辰村标准厂房建设工程的公告

【信息发布时间:2021-09-24 16:49  阅读次数:】 【我要打印】 【关闭】

东海县2021年度大中型水库移民后期扶持项目石梁河镇南辰村标准厂房建设工程施工招标公告

标段编号:320722-ZHJY-2021092301-1

1.招标条件

东海县2021年度大中型水库移民后期扶持项目石梁河镇南辰村标准厂房建设工程施工已经连水移民【2021】50号文批准建设。招标人为 东海县石梁河镇人民政府,建设资金为水库移民后期扶持资金 ,现已落实。江苏丰尚建设项目管理有限公司受招标人委托负责本项目的招标事宜,项目已具备招标条件,现对 东海县2021年度大中型水库移民后期扶持项目石梁河镇南辰村标准厂房建设工程施工进行公开招标,欢迎具备资格条件的投标人参加投标。

2.工程概况和招标范围

2.1工程概况:东海县2021年度大中型水库移民后期扶持项目石梁河镇南辰村标准厂房建设工程位于东海县石梁河镇南辰村。

2.2合同估算价:363.41万元

2.3标段划分:本次招标为一个施工标段。

东海县2021年度大中型水库移民后期扶持项目石梁河镇南辰村标准厂房建设工程(东海HF2021001),具体建设内容:1、新建标准厂房工程:拟新建钢结构厂房一栋,建筑面积3564.73m²。厂房长度为72.78m,宽度为48.98m,厂房跨度为24m,跨度为2跨,厂房檐口高度为11.15m;厂房每跨有两个吊车吨位5T;吊车轨距安装前现场核实方可放样施工;吊车下牛腿梁顶标高8.5m,吊钩下净距为7.5m,钢制屋顶未考虑太阳能光伏荷载,厂房内无吊顶,未考虑吊顶荷载。2、新建铺装工程:新建铺装622㎡,采用60×100×200面包砖面层。新建路缘石468m,采用1000×300×100花岗岩路缘石。(具体详见工程量清单)

2.4计划工期:工期80日历天,具体开工时间以监理工程师签发的开工令为准。

2.5质量标准:合格。

3.投标人资格要求

3.1投标人须具备水利水电工程施工总承包三级及以上资质,具有有效的安全生产许可证;

3.2投标人拟任本项目的项目经理须具备水利水电工程专业二级及以上注册建造师资格;

3.3投标人拟任本项目的技术负责人须具有工程类中级及以上职称;

3.4投标人法定代表人、项目经理和专职安全管理人员须持有有效的行政主管部门颁发的安全生产考核证书(分别为A、B、C三类);

3.5提供拟投入本工程的项目负责人(项目经理)和技术负责人必须为本单位正式职工,提供劳动合同(有效期内)同时提供2021年02月至2021年07月连续6个月及以上由社保机构出具的社保缴纳证明(加盖社保中心章或社保中心参保缴费证明电子专用章)等证明材料;

3.6本次招标不接受联合体投标。

4.投标报名及招标文件的获取 

4.1报名时间:2021年09月24日至2021年09月30日;

4.2招标文件的获取方式:投标人使用“江苏CA数字证书”登录“连云港市公共资源交易平台”获取;

投标单位进入“连云港市公共资源交易网”, 通过CA证书登录【交易平台】—【综合交易】—【投标人】,进入“交易乙方”,在“招标文件下载”中,进行所参加项目“信息录入”、“下载招标文件”,具体流程详见下载专区“综合交易投标人操作手册”;没有按规定在网上完成“信息录入”、“下载招标文件”投标单位,其投标文件将被拒收,由此造成的不利后果由投标单位自行承担。【投标过程中遇到软件问题可联系何工:18452501766】

电子标书制作:投标人请到连云港市公共资源交易平台综合交易新投标人处下载投标文件制作工具,用于打开招标文件并制作投标文件。

4.3招标文件每套售价为500元,售后不退。

4.4未按本公告要求获取招标文件的投标人,招标人有权拒绝其投标。

特别提醒:如果您是第一次在东海地区进行网络投标,请您先联系CA公司和江苏翔晟办理网络投标密码锁和企业电子签章,以上步骤不进行或操作不完善,可能导致无法购买招标文件。

CA数字证书、江苏翔晟(连云港办事点):连云港市海州区凌州东路9号连云港市政务服务中心C座一楼大厅CA签章窗口。

投标过程中遇到软件问题可联系相应软件公司寻求技术支持。

软件公司名称

联系人

联系电话

国泰新点

黄桂松

15896100880

何工

18452501766

朱家旺

18905137238

中国金融认证中心CFCA(连云港市海州区凌州东路9号政务服务中心3号楼一楼大厅CFCA窗口)

孙莉莉

耿立珍

18005133017

17751872787

江苏省国信数字科技有限公司(连云港市海州区凌州东路9号政务服务中心3号楼一楼[国信CA]窗口)

周梦雪

魏飞

15298603303(微信同号)

18261319191(微信同号)

 

5. 投标截止时间

5.1 投标截止时间为(开标时间同投标截止时间):2021年10月18日09时00分。

注:本工程采用不见面开标交易模式(具体方法详见投标须知前附表中招标人补充的其他内容)。

特别提醒:

为落实省级相关部门不见面开标交易模式,本工程须在开标前完成不见面开标程序。各投标单位在报名前应慎重考虑并确保在招标文件规定的时间完成投标文件。为顺利实现本项目开评标的远程交互,建议投标人配置的硬件设施有:高配置电脑、高速稳定的网络、电源(不间断)、CA锁、音视频设备(话筒、耳麦、高清摄像头、音响)、扫描仪、打印机、传真机、高清视频监控等;建议投标人具备的软件设施有:IE浏览器(版本必须为11及11以上),江苏省互联互通驱动。为保证交互效果,建议投标人选择封闭安静的地点参与远程交互。因投标人自身软硬件配备不齐全或发生故障等问题而导致在交互过程中出现不稳定或中断等情况的,由投标人自身承担一切后果。

6.踏勘现场和投标预备会

招标人不组织勘察现场,投标单位根据需要自行勘察现场,不召开投标预备会。

7. 评标方法

本次招标采用综合评估法;

条款号

评审因素

评审标准

2.2.1

分值构成

(总分100分)

 

投 标 报 价:65分

施工组织设计:30分

投标人信誉:5分

2.2.2

复合标底计算方法

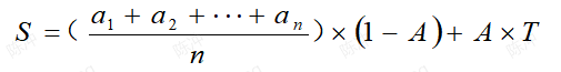
本工程采用复合标底,复合标底价为:

有效标,n>10时,为剔除投标人两个最高报价和两个最低报价后的各投标报价,5<n≤10时,为剔除投标人最高报价和最低报价后的各投标报价,n≤5时,无需剔除。)

T为最高限价,A为权重系数取0.5,0.55,0.6(开标会上随机抽取)。

最高限价:363.41 万元

投标报价高于工程最高限价作无效标处理。

2.2.3(1)

投标报价(65分)

(1)报价分60分

投标价(算术修正后,下同):

在复合标底98%~100%的得60分,并以此为基数,进行下面各项的打分;

高于100%的,在60分的基础上每高1个百分点扣0.5分。

低于98%的,在60分的基础上每低1个百分点扣0.3分。

中间按内插计算。保留小数点后2位数字,小数点后第三位数字“四舍五入”。

最低得分为零分。

2.2.3(2)

 

施工组织设计

(30分)

1.工场布置和临时设施(2.0分)。工场布置合理(1.0分);临时设施设计合理(1.0分)。有缺陷,酌情扣分,最少得0分。

2.施工进度计划与工期保证措施(2.0分)。计划合理(1.0分),措施可行(1.0分)。有缺陷,酌情扣分,最少得0分。

3.施工机具设备及劳动力配置(2.0分)。施工机具配置合理能满足施工强度要求(1.0分),有缺陷,酌情扣分,最少得0分;劳动力配置合理1.0分,有缺陷,酌情扣分,最少得0分。

4.技术人员配置(2.0分)。工程专业技术人员配置齐全(2.0分),有缺陷,适当扣分,最少得0分。

5.排水工程施工工艺合理(1.0分),有缺陷,适当扣分,最少得0分。

6.土方开挖回填措施得当(1.0分)。有缺陷,适当扣分,最少得0分。

7.工程原材料(包括水泥采购质量控制措施可行等)、成品半成品、中间产品合格性进行抽检的保证及措施可行(2.5分)。有缺陷,适当,最少得0分。

8.砌体工程施工工艺合理、质量有保证(2.5分)。有缺陷,酌情扣分,最少得0分。

9.混凝土生产、浇筑工艺及组织合理,能满足施工需要并能保证混凝土内外质量,有特殊要求部位方案合理,措施可行(3分)。有缺陷,适当扣分,最少得0分。

10.电气、消防安装工程针对本工程特点做出合理的施工方案,符合规范、规定要求(3.0分),有缺陷,适当扣分,最少得0分。

11.钢结构厂房制作及安装等针对本工程特点做出合理的施工方案,符合规范、规定要求(3.0分)。有缺陷,适当扣分,最少得0分。

12.对清障和地方矛盾处理有得力措施(2.0分)。有缺陷,适当扣分,最少得0分。

13.质量保证措施(2.0分)。质量保证体系健全的1.0分,有缺陷,酌情扣分,最少得0分;质量保证方案可行、措施得力1.0分,有缺陷,酌情扣分,最少得0分。

14.安全文明措施,环境保护(2.0分)。安全文明措施有保证1.0分;环境保护措施有保证(1.0分);有缺陷,适当扣分,最少得0分。

2.2.3(3)

信用等级及水利安全生产标准化(5分)

(1)企业信用等级的分值按照江苏省水利厅文件苏水规〔2019〕6号“省水利厅文件关于印发《江苏省水利工程建设从业单位履约考核信用管理办法》的通知”执行。

2019年度江苏省水利工程建设从业单位履约考核信用等级及赋分值见江苏水利网:

http://jssslt.jiangsu.gov.cn/art/2020/6/29/art_42984_9271207.html(本项最高得4分)

(2)水利安全生产标准化一级得1分,二级得0.8分,三级得0.5分。提供水利安全生产标准化等级证明扫描件,否则不得分。

 

8.发布公告的媒介

本次招标公告在连云港市公共资源交易中心网站综合交易平台、江苏省招标投标公共服务平台上发布。

9.联系方式

招 标 人:东海县石梁河镇人民政府

地  址:东海县石梁河镇人民政府驻地

联 系 人:左柱

联系电话:16605188092

招标代理人:江苏丰尚建设项目管理有限公司

地 址:东海县富华西路培仁学校西侧路口

联 系 人:王浩  

    联系电话:15151230670

附件:
c299e975-54cb-45ab-a630-8841834badcd