首页 > 交易信息 > 其他行业 > 招标公告

[招标公告]关于赣榆区墩尚镇南大沙村土地复垦项目Ⅱ的公告

【信息发布时间:2024-02-27 14:27  阅读次数:】 【我要打印】 【关闭】

赣榆区墩尚镇南大沙村土地复垦项目Ⅱ

 施工招标公告

1. 招标条件

赣榆区墩尚镇南大沙村土地复垦项目Ⅱ已由连云港市自然资源和规划局“连自然资发[2023]396号”文批复。建设资金来源为财政资金,已落实,项目出资比例为100%。招标人为赣榆区墩尚镇人民政府,招标代理为连云港璇铭工程项目管理有限公司。

按照《中华人民共和国招标投标法》及相关规定,项目已具备招标条件,现对该项目施工进行公开招标。

2. 项目概况与招标范围

1、赣榆区墩尚镇南大沙村土地复垦项目Ⅱ位于赣榆区墩尚镇南大沙村境内。

2、本次对赣榆区墩尚镇南大沙村土地复垦项目Ⅱ进行招标,具体详见招标文件及工程量清单,本次项目分一个标段。主要建设内容如下:

施工标段:土地平整工程、灌溉与排水工程等。

3、工期要求:计划总工期45日历天,计划开工2024年04月01日-2024年05月16日竣工,具体开工时间以总监签发的开工令为准。

4、招标控制价:5556833.77元。

5、工程质量:符合土地整治相关规范、规定及规程要求的合格标准。

3. 投标人资格要求

(1)投标人有独立订立合同的能力,具有有效的营业执照及企业基本账户《开户许可证》(或基本存款账户信息材料);

(2)投标人具备建设行政主管部门核发的市政公用工程施工总承包叁级及以上资质、并取得安全生产许可证(在有效期内);

(3)投标人拟任的项目经理须具备建设行政主管部门颁发的市政公用工程专业贰级及以上注册建造师执业资格,并具备安全生产考核合格证B类证(在有效期内);

(4)投标人拟任的项目技术负责人具备中级及以上技术职称);

(5)投标人法定代表人(A类)、拟任项目经理(B类)、拟任专职安全员(C类)具备安全生产考核合格证书(有效期内));

(6)要求提供拟投入本工程的项目经理与投标人签订的有效劳动合同及2023年08月至2024年01月期间连续缴纳6个月的社会保险缴费证明);

(7)投标单位近三年(2021年1月1日至今,以合同签订时间为准)有承担类似业绩土地复垦、农业综合开发项目、高标准农田、土地整理工程等任意一项(同时提供中标通知书、施工合同协议书,原件二者缺一不可)提供的证明材料必须能清晰的表明类似工程的投标人名称、合同价款、时间等需要明示的内容,否则不予认可。

(8)本工程招标工作执行连建发【2019】182号文、江苏省住房和城乡建设厅公告【2018】6号规定。投标人本次投标所用资质在投标有效期内须为合格企业。企业资质动态监管合格情况采用信用承诺方式由投标人自行承诺(格式详见招标文件附件)。

(9)投标人无不良行为、无借牌挂靠行为、项目负责人无不良行为承诺书,投标人、法定代表人、项目负责人无行贿犯罪记录承诺书(格式见招标文件附件);

(10)本项目不接受联合体投标。

(11)本次招标实行资格后审,资格后审不合格的投标人投标文件将按无效标处理。

注:根据《江苏省国有资金投资工程建设项目招标投标管理办法》(第120号令)中第十五条规定(三)投标人在履行招标人以往的工程合同中存在严重违约行为。招标人将拒绝投标人参加投标。

4. 投标报名及招标文件的获取

4.1招标文件获取时间为:2024年02月27日至2024年03月05日

4.2投标单位进入“连云港市公共资源交易网”, 通过CA证书登录【投标人登录】——【综合交易】,进入“交易乙方”,在“招标文件下载”中,进行所参加项目“信息录入”、“下载招标文件”,具体流程详见下载专区“投标人操作手册”;没有按规定在网上完成“信息录入”、“下载招标文件”的投标单位,其投标文件将被拒收,由此造成的不利后果由投标单位自行承担。【操作系统具体事项联系技术服务电话:4009980000;张工18505182641】

5.3提醒:请投标申请人务必在规定截止时间内获取招标文件,否则将导致投标失败。

5.4如果您是第一次在连云港地区进行网络投标,请您先联系江苏CA公司办理网络投标密码锁和企业电子签章,然后联系国泰新点软件公司进行密码锁的激活,用密码锁登陆连云港市公共资源交易网站会员系统进行诚信信息库的操作,以上步骤不进行或操作不完善,可能导致无法进场交易。

连云港市公共资源交易中心地址:

连云港市海州区凌洲东路9号政务服务中心(3号楼-公共资源交易中心)

江苏CA(连云港办事点):

连云港市海州区凌洲东路9号政务中心3号楼一楼CA证书窗口。

密码锁激活:市区国有项目(国泰新点软件公司负责激活)

登录网站:连云港市公共资源交易网(http://spzx.lyg.gov.cn/TPFront/)

江苏CA 总部(南京) 025-96010     连云港 孙莉莉 18005133017

5. 投标文件的递交

5.1 递交投标文件截止时间:2024年03月20日 10时00 分。

注:本工程采用不见面开标交易模式。(具体方法详见投标须知前附表中招标人补充的其他内容) 特别提醒:

1、为落实省级相关部门不见面开标交易模式。各投标单位在购买招标文件前应慎重考虑并确保在招标文件规定的时间完成投标文件。

2、为顺利实现本项目开评标的远程交互,建议投标人配置的硬件设施有:高配置电脑、高速稳定的网络、电源(不间断)、CA 锁、 音视频设备(话筒、耳麦、高清摄像头、音响)、扫描仪、打印机、传真机、高清视频监控等;建议投标人具备的软件设施有:IE 浏览器(版本必须为 11 及 11 上),江苏省互联互通驱动。为保证交互效果,建议投标人选择封闭安静的地点参与远程交互。因投标人自身软硬件配备不齐全或发生故障等问题而导致在交互过程中出现不稳定或中断等情况的,由投标人自身承担一切后果。

6. 踏勘现场和投标预备会

招标人不统一组织踏勘现场和投标预备会。投标人根据需要自行踏勘现场,所产生的费用自理,安全责任由投标人负责。

7. 评标办法(综合积分法)

评委会按综合积分法进行评审。按100分法对下列投标文件的主要内容进行综合打分,按从高至低顺序排列,推荐排名前3名的投标人为中标候选人。

综合评分细则

分值构成

(总分100分)

投 标 报 价:    65分(含平衡报价5分)

施工组织设计:  30分

企业业绩:     5分

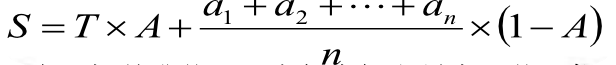
评标基准价

计算方法

S为评标基准价,T为每个标段最高限价(投标价高于最高限价作无效标处理),A为权重系数,取0.6、0.65、0.7三者选一,由招标人代表现场抽取确认;有效标n>5时,为剔除投标人最高报价和最低报价的20%(四舍五入,取整)后的各投标报价,n≤5时,无需剔除。)最高限价:5556833.77元
报价低于最高限价的85%不参与评标基准价计算。

投标报价

(65分)

(1)报价分60分

投标价(算术修正后,下同):在评标基准价的100%-98%(含100%、98%)得满分60分,并以此为基数,进行下面各项的打分;

低于98%,每低1个百分点,在以上扣分的基础上扣0.6分;

高于100%的,每高1个百分点,在以上扣分的基础上扣0.9分。

中间按内插计算。保留小数点后2位数字,小数点后第三位数字“四舍五入”。最低得分为零分。

(2)报价的平衡性、合理性(5分)

若投标人的主要分组投标价超出最高限价相应分组价(±5%),每发现一项,在报价得分的基础上扣1.0分。

施工组织

(30分)

(1)该项目基本概况,施工平面布置及临时设施可行得当得2分,有缺陷,适当扣分,最少得0分。

(2)施工进度计划合理,工期保证措施可行(2.0分)。计划合理1.0分;措施可行,有工期计划网络图或横道图1.0分。有缺陷,适当扣分,最少得0分。

(3)施工机具设备及劳动力配置合理,能满足施工强度要求(2.0分)。施工机具配置合理1.0分,有缺陷,适当扣分,最少得0分;劳动力配置合理1.0分, 有缺陷,适当扣分,最少得0分。

(4)工程专业技术人员配置合理,有相应资质证书(2.0分)。工程专业技术人员配备齐全(包括施工员、质量员、安全员、材料员、资料员,人员不得重复,不得一人身兼多职)1.5分,缺一个扣0.3分,扣完为止;技术负责人具有高级及以上职称0.5分。

(5)垃圾外运、土方调运方案合理、质量有保证(4.0分)。有缺陷,适当扣分;不合理、有严重失误得0分。

(6)田块平整、田埂修筑、土地翻耕、土壤改良方案合理、质量有保证(4.0分)。有缺陷,适当扣分,最少得0分。

(7)沟渠开挖、涵洞方案合理、质量有保证(4.0分)。有缺陷,适当扣分,最少得0分。

(8)质量保证措施(2.0分)。质量保证体系健全、方案可行、措施得力2.0分,有缺陷,适当扣分,最少得0分。

(9)对清障和地方矛盾处理有得力措施(5.0分)。对清障和地方矛盾处理有得力措施,方案可行,得5.0分。有缺陷,适当扣分,最少得0分。

(10)安全文明生产、环境保护(3.0分)。安全文明生产措施有保证1.5分;有缺陷,适当扣分,最少得0分;环境保护措施可行1.5分,有缺陷,适当扣分,最少得0分。

注:投标人在编制施工组织设计时,内容要简单明了,具备针对性;为方便评委评审,施工组织设计篇幅不得超过120页,超过120页的扣2分。

企业业绩

(5分)

近三年(2021年1月1日至今,以合同签订时间为准)有担任单项合同额不少于200万元的类似工程业绩土地复垦、农业综合开发项目、高标准农田、土地整理工程等任意一项(同时提供中标通知书、施工合同协议书等),承担一项得5.0分,最多得5.0分。

注:时间以合同签订时间为准,需提供中标通知书、施工合同证明原件扫描件上传至电子投标文件中,提供的证明材料必须能清晰的表明类似工程的投标人名称、合同价款、时间等需要明示的内容,否则不予认可。

8、组建项目部

中标单位签订合同3日内,提交开工申请资料,10日内必须组建项目部并开工建设,10日内未组建,招标人有权清退中标单位,造成的一切后果均由中标单位承担。投标文件中所列主要管理人员(项目经理、技术负责人、专职安全员)必须驻场。

9、 发布公告的媒介

本次招标公告在连云港市公共资源交易网上发布。

10、联系方式

招  标  人:赣榆区墩尚镇人民政府

联  系  人:董主任

电      话:18795561199

招标代理机构:连云港璇铭工程项目管理有限公司      

地    址:赣榆区青口镇义塘路882-19号二楼                  

联 系 人:高工                

电    话:15161303171              

 2024年02月27日

附件:
4e3e585d-c5b0-4cc7-bf0b-58de8dc78a63