首页 > 交易信息 > 其他行业 > 招标公告

[招标公告]关于赣榆区范河先行区域农田退水治理试点项目的公告

【信息发布时间:2024-07-17 17:05  阅读次数:】 【我要打印】 【关闭】

赣榆区范河先行区域农田退水治理试点项目施工

招标公告

1. 招标条件

根据《关于下达2023年省生态环境保护专项资金(先行区域农田退水治理试点的通知)》(苏财资环〔2023〕86号)通知要求,连云港市赣榆区农业农村局现委托江苏如浩项目管理咨询有限公司对赣榆区范河先行区域农田退水治理试点项目施工进行公开招标,欢迎具备资格条件的投标人参加投标。

按照《中华人民共和国招标投标法》及相关规定,项目已具备招标条件,现对该项目施工进行公开招标。

2. 项目概况与招标范围

赣榆区范河先行区域农田退水治理试点项目,围绕范河汇水区域开展农田退水回灌循环利用工程、农田退水水质净化工程等。本项目围绕范河赣榆区沿线各镇,分镇建设,分别在宋庄镇、墩尚镇、青口镇、沙河镇、城头镇等5个镇的范河汇水区域内实施。

其中城头镇包括新建2座回灌泵站、新建6座节制闸、新建2座拦水坝、渠道修复1.48km、生态化改造渠道4条、路面拆除及恢复;沙河镇包括新建18座回灌泵站、新建14座节制闸、路面拆除及恢复;青口镇包括生态化改造渠道1条、维修节制闸1座、维修泵站1座;墩尚镇包括新建1座回灌泵站、维修泵站1座、新建4座节制闸、维修节制闸1座、新建1座管涵、生态化改造渠道5条、路面拆除及恢复;宋庄镇包括新建3座回灌泵站、新建12座节制闸、生态化改造渠道1条、路面拆除及恢复,具体详见工程量清单。

工期要求:90日历天,具体开工时间以总监签发的开工令为准。

工程质量:符合国家、省现行农业项目验收规定和水利工程相关规范、规定及规程要求的合格标准。

3. 投标人资格要求

(1)投标人有独立订立合同的能力,具有有效的营业执照及企业基本账户《开户许可证》(或基本存款账户信息材料)。

(2)投标人具有水利水电工程施工总承包叁级及以上资质(有效期内),并取得安全生产许可证(有效期内)。

(3)投标人拟任的项目经理须具备水利水电工程专业二级注册建造师及以上证书(有效期内),投标人确定的项目经理须全程参与招投标过程(含异议、投诉)。

(4)投标人拟任的项目技术负责人具备水利工程专业中级及以上技术职称。

(5)投标人法定代表人(A类)、拟任项目经理(B类)、拟任专职安全员(C类)具备水行政主管部门颁发的安全生产考核合格证书(有效期内)。

(6)要求提供拟投入本工程的项目经理、技术负责人、专职安全员在本单位连续缴纳6个月的社会保险缴费证明(2024年1月至2024年6月)。

(7)投标人自2019年1月1日至今,有承担过单项合同额不少于1500万元的类似业绩(农田退水治理、水环境治理、生态缓冲区、高标准农田建设项目、灌区改造、农田水利项目等任意一项),以合同签订时间为准,需同时提供中标通知书、施工合同、竣工验收或完工验收证明,提供的证明材料必须能清晰的表明类似工程的投标人名称、合同内容、时间等需要明示的内容,否则不予认可。

(8)本工程执行江苏省住房和城乡建设厅公告【2018】6号、苏建招办【2022】2号规定。投标人在投标文件递交截止时间当日,建筑业企业资质动态监管结果不处于不合格状态的。投标人的建筑业企业资质动态监管结果由招标人在投标文件递交截止时间当日登录“江苏省建筑市场监管与诚信信息一体化平台”进行查询获取。

(9)本项目不接受联合体投标。

(10)本次招标实行资格后审,资格后审不合格的投标人投标文件将按无效标处理。

4. 招标文件的获取

4.1招标文件获取时间为:2024年7月17日至2024年7月22日

4.2招标文件的获取方式:投标人使用“CA数字证书”登录“连云港市公共资源交易平台”获取;

投标单位进入“连云港市公共资源交易网”, 通过CA证书登录【交易平台】—【综合交易】—【投标人】,进入“交易乙方”,在“招标文件下载”中,进行所参加项目“信息录入”、“下载招标文件”,具体流程详见下载专区“综合交易投标人操作手册”;没有按规定在网上完成“信息录入”、“下载招标文件”投标单位,其投标文件将被拒收,由此造成的不利后果由投标单位自行承担。【投标过程中遇到软件问题可联系何工:18452501766】

4.3招标文件每套售价为0元。请在招标文件下载截止时间前下载文件。(提醒:请投标申请人务必在规定截止时间前获取招标文件,否则将导致投标失败!)

4.4未按本公告要求获取招标文件的投标人,招标人有权拒绝其投标。

特别提醒:1、如果您是第一次在连云港地区进行网络投标,请您先联系CA公司办理网络投标密码锁和企业电子签章,以上步骤不进行或操作不完善,可能导致无法购买招标文件。

2、投标过程中遇到软件问题可联系相应软件公司寻求技术支持。

软件公司名称

联系人

联系电话

 

国泰新点

黄桂松

15896100880

何工

18452501766

朱家旺

18905137238

中国金融认证中心CFCA(连云港市海州区凌州东路9号政务服务中心3号楼一楼大厅CFCA窗口)

孙莉莉

耿立珍

18005133017

17751872787

江苏省国信数字科技有限公司(连云港市海州区凌州东路9号政务服务中心3号楼一楼[国信CA]窗口)

周梦雪

魏飞

15298603303(微信同号)

18261319191(微信同号)

5. 投标文件的递交

5.1 投标截止时间为:2024年8月7日10时00分。

5.2递交地点:投标人自行选择任意地点参加远程开标会。(本工程采用远程不见面交易模式)。

注:1、投标人投标截止时间前完成网上投标文件上传,本项目采用不见面方式开标。

2、电子标书制作:投标人请到连云港市公共资源交易平台综合交易新投标人处下载投标文件制作工具,用于打开招标文件并制作投标文件。

3、为落实省级相关部门不见面开标交易模式,各投标单位在获取招标文件前应慎重考虑并确保在招标文件规定的时间完成投标文件。投标人务必采用最新制作工具进行制作,投标单位制作投标文件时如遇投标工具中投标格式与招标文件不一致,请投标单位按照招标文件中投标格式要求编制一份投标文件资料添加在投标工具的【投标其他文件】中。如因投标人未按要求执行造成的一切后果(包括废标)均由投标人自行承担。

4、为顺利实现本项目开评标的远程交互,建议投标人配置的硬件设施有:高配置电脑、高速稳定的网络、电源(不间断)、CA锁、音视频设备(话筒、耳麦、高清摄像头、音响)、扫描仪、打印机、传真机、高清视频监控等;建议投标人具备的软件设施有:IE浏览器(版本必须为11及11以上),江苏省互联互通驱动。为保证交互效果,建议投标人选择封闭安静的地点参与远程交互。因投标人自身软硬件配备不齐全或发生故障等问题而导致在交互过程中出现不稳定或中断等情况的,由投标人自身承担一切后果。

6. 踏勘现场和投标预备会

招标人不统一组织踏勘现场和投标预备会。投标人根据需要自行踏勘现场,所产生的费用自理,安全责任由投标人负责。

7. 评标办法(综合积分法)

评委会按综合积分法进行评审。按100分对下列投标文件的主要内容进行综合打分,按从高至低顺序排列,推荐排名前3名的投标人为中标候选人。

综合评分细则

分值构成

(总分100分)

投标报价:50分

施工组织设计:44分

企业业绩:6分

评标基准价

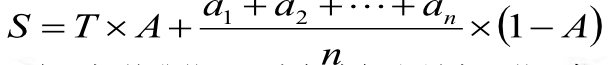
计算方法

 


S为评标基准价,T为每个标段最高限价(投标价高于最高限价作无效标处理),A为权重系数,取0.6、0.65、0.7三者选一,由招标人代表现场抽取确认;有效标n>5时,为剔除投标人最高报价和最低报价的20%(四舍五入,取整)后的各投标报价,n≤5时,无需剔除。)

最高限价:26021476.60元

报价低于最高限价的85%不参与评标基准价计算。

投标报价

(50分)

(1)报价分50分

投标价(算术修正后,下同):在评标基准价的100%-98%(含100%、98%)得满分50分,并以此为基数,进行下面各项的打分;

低于98%,每低1个百分点,在50分的基础上扣0.6分;

高于100%的,每高1个百分点,在50分的基础上扣0.9分。

中间按内插计算。保留小数点后2位数字,小数点后第三位数字“四舍五入”。最低得分为零分。

 

施工组织

(44分)

(1)施工围堰填筑、防护,排水,措施合理、方案可行,有说明

书和附图(4分)。有缺陷,适当扣分;有严重缺陷,方案不可行,得0分。

(2)施工进度计划合理,工期保证措施可行(4分)。计划合理2分;措施可行,有工期计划网络图或横道图2分。有缺陷,适当扣分,最少得0分。

(3)施工机具设备及劳动力配置合理,能满足施工强度要求(4分)。施工机具配置合理2分,有缺陷,适当扣分,最少得0分;劳动力配置合理2分, 有缺陷,适当扣分,最少得0分。

(4)工程专业技术人员配置合理,有相应资质证书(2分)。工程专业技术人员配备齐全(包括施工员、质检员、安全员、材料员、资料员,人员不得重复,不得一人身兼多职)1.5分,缺一个扣0.3分,扣完为止;技术负责人具有水利工程专业高级及以上职称0.5分。

(5)混凝土生产、浇筑工艺及组织合理,能满足施工需要并能保证混凝土内外质量,有特殊要求部位方案合理,措施可行(4分)。有缺陷,适当扣分;不合理、不满足需要,得0分。

(6)土方挖填、调配方案合理,碾压措施得当(3分)。有缺陷,适当扣分;不合理、有严重失误得0分。

(7)砌体及垫层施工工艺合理、质量有保证(4分)。有缺陷,适当扣分,最少得0分。

(8)防渗渠施工工艺合理、质量有保证(4分)。有缺陷,适当扣分,最少得0分。

(9)道路施工工艺合理、质量有保证(4分)。有缺陷,适当扣分,最少得0分。

(10)设备采购质量控制措施可行、安装质量有保证、调试等符合规范、规定要求(1分)。有缺陷,适当扣分,最少得0分。

(11)苗木采购、栽植及养护施工措施可行(1分)。有缺陷,适当扣分,最少得0分。  

(12)质量保证措施(3分)。质量保证体系健全、方案可行、措施得力,得3分。有缺陷,适当扣分,最少得0分。

(13)对清障和地方矛盾处理有得力措施(2分)。对清障和地方矛盾处理有得力措施,方案可行,得2分。有缺陷,适当扣分,最少得0分。

(14)安全文明生产、环境保护(4分)。安全文明生产措施有保证得2分;有缺陷,适当扣分,最少得0分;环境保护措施可行得2分,有缺陷,适当扣分,最少得0分。

注:投标人在编制施工组织设计时,内容要简单明了,具备针对性;为方便评委评审,施工组织设计篇幅不得超过120页,超过120页的扣2分。

企业业绩

(6分)

1、投标人在2019年1月1日至今,有承担过单项合同额不少于2000万元的类似业绩(农田退水治理、水环境治理、生态缓冲区、高标准农田建设项目、灌区改造、农田水利项目等任意一项),每承担一个得3分,本项最多得6分。

注:时间以合同签订时间为准,需同时提供中标通知书、施工合同、竣工验收或完工验收证明原件扫描件上传至电子投标文件中,提供的证明材料必须能清晰的表明类似工程的投标人名称、合同内容、合同金额、时间等需要明示的内容,否则不予认可。资格审查业绩和评分项业绩不重复计取。

8、组建项目部

中标单位签订合同3日内,提交开工申请资料,10日内必须组建项目部并开工建设,10日内未组建,招标人有权清退中标单位,造成的一切后果均由中标单位承担。投标文件中所列主要管理人员(项目经理、技术负责人、专职安全员)必须驻场。

9、 发布公告的媒介

本次招标公告在连云港市公共资源交易网上发布。

10、联系方式

招  标  人:连云港市赣榆区农业农村局

联  系  人:张工      

电      话:0518-80203236   

招标代理机构:江苏如浩项目管理咨询有限公司

地    址:连云港市灌云县美都新城26幢

联 系 人:胡工             

电    话:0518-85585080/18251250907        

邮    箱:jiangsuruhao@126.com       

本项目招标公告及招标文件经招标人及监管部门审核,同意发布。           

 

2024年 7月 17 日

附件:
ecdf084a-0a1f-4559-9313-9b92f82d595c