首页 > 交易信息 > 其他行业 > 招标公告

[招标公告]关于黑林镇环大吴山节水灌溉蓄水池项目施工的公告

【信息发布时间:2024-09-06 11:36  阅读次数:】 【我要打印】 【关闭】

黑林镇环大吴山节水灌溉蓄水池项目施工招标公告

1.招标条件

本招标项目 黑林镇环大吴山节水灌溉蓄水池项目 已由 连财农(2024)48号文批准建设,建设资金为财政资金,已落实。招标人为 赣榆区黑林镇人民政府 ,招标代理机构为 江苏博茂项目管理有限公司 。项目已具备招标条件,现对 黑林镇环大吴山节水灌溉蓄水池项目施工进行公开招标。

2.项目概况与招标范围

2.1项目建设地点:赣榆区黑林镇。

2.2项目总体建设内容: 黑林镇环大吴山节水灌溉蓄水池项目施工 共分为一个标段,主要建设内容如下:节水灌溉蓄水池8座,具体详见施工图纸及工程量清单。

2.3本合同项目计划工期:90日历天,具体开工时间以总监理工程师签发的开工批复为准。

2.4工程质量:符合国家、省现行农业项目验收规定和水利工程相关规范、规定及规程要求的合格标准

3.投标人资格要求

3.1 本次招标资格条件

(1)投标人有独立订立合同的能力,具有有效的营业执照及企业基本账户《开户许可证》(或基本存款账户信息材料)。

(2)投标人具有水利水电工程施工总承包叁级及以上资质(有效期内),并取得安全生产许可证(有效期内)。

(3)项目负责人要求:投标人拟任的项目负责人须具备水利水电工程专业二级注册建造师及以上资格(有效期内),投标人确定的项目负责人须全程参与招投标过程(含异议、投诉)。

(4)投标人拟任的项目技术负责人要求:具备水利工程专业中级及以上技术职称;

(5)三类人员安全生产考核合格证书要求:法人代表人(A类)、项目负责人(B类)、专职安全员(C类)具备水行政主管部门颁发的安全生产考核合格证书;

(6)要求提供拟投入本工程的项目负责人、技术负责人、专职安全员在本单位连续缴纳6个月的社会保险缴费证明(2024年2月至2024年7月)。

(7)投标人自2021年1月1日至今,有承担过单项合同额不少于500万元的类似业绩(高标准农田建设项目或节水灌溉项目任意一项),以合同签订时间为准,需同时提供中标通知书、施工合同、竣工验收或完工验收证明(三项缺一不可),提供的证明材料必须能清晰的表明类似工程的投标人名称、合同内容、时间等需要明示的内容,否则不予认可。

(8)财务要求: 未出现基本存款账户被国家有关机关查封、冻结情况(自行承诺,格式自拟)。  

(9)其他要求:1、不拖欠农民工工资书面承诺(格式见招标文件)。2、被“信用中国”及“信用江苏”公布的失信被执行人(包括自然人和单位),在失信记录解除前,不得参加本项目的招标投标活动。失信被执行人名单以“信用中国”和“信用江苏”公布为准,不同网站公布的失信被执行人信息存在差异的,以“信用中国”公布的信息为准,惩戒期限为网站上公布的失信被执行人信息中载明的发布时间开始,直至撤销或更正信息中载明的发布时间的期间;备注:投标人须通过“信用中国”、“信用江苏”网站,自行查询信用记录情况,结果页面上传至投标文件资格审查材料中。

(10)本工程执行江苏省住房和城乡建设厅公告【2018】6号、苏建招办【2022】2号规定。投标人在投标文件递交截止时间当日,建筑业企业资质动态监管结果不处于不合格状态的。投标人的建筑业企业资质动态监管结果由招标人在投标文件递交截止时间当日登录“江苏省建筑市场监管与诚信信息一体化平台”进行查询获取。

3.2 本次招标不接受联合体投标。

3.3 本次招标实行资格后审,资格审查的要求见招标文件。资格后审不合格的投标人投标文件将按否决投标处理。

注:(1)关于企业安全生产许可证,执行省住建厅【2023】11 号公告,建筑施工企业安全生产许可证电子证照启用全国一体化政务服务平台标准,旧版电子证照同时废止,请本次参与投标的企业提供最新且有效版本。

(2)本工程采用资格后审,对投标申请人资格的审查将依据:资格审查应提供的资料以原件彩色扫描件使用投标文件制作工具生成的电子投标文件上传为准,将体现证件有效期、年检情况、基本信息及变更等相关内容清晰完整上传。如果因上传的原件彩色扫描件不完善、不完整或无法清晰辨认等都将视为资格审查不合格。

4.招标文件的获取

4.1获取招标文件准备

2024年 09 月 06 日至2024年 09 月 13 日(北京时间,下同)为招标文件发售期,凡有意参加投标者,请在招标文件发售期满之前完成如下工作:

4.1招标文件获取时间为:2024年 09 月 06 日至2024年 09 月 13 日。

4.2投标单位进入“连云港市公共资源交易网”,通过CA证书登录【投标人登录】——【综合交易】,进入“交易乙方”,在“招标文件下载”中,进行所参加项目“信息录入”、“下载招标文件”,具体流程详见下载专区“综合交易投标人操作手册”;没有按规定在网上完成“信息录入”、“下载招标文件”的投标单位,其投标文件将被拒收,由此造成的不利后果由投标单位自行承担。 【操作系统具体事项联系国泰新点技术服务电话:4009980000;张工0518-85861319】

  4.3招标文件每套售价0元。

4.4各潜在投标人应在投标截止时间前随时查看“连云港市公共资源交易网交易平台”中有关该工程招标文件的答疑、澄清等相关内容。否则,由此引起的投标损失由投标单位自负。

5.投标截止时间

5.1递交投标文件截止时间为:2024年09月30日上午09时00分(北京时间)。

5.2递交地点:投标人自行选择任意地点参加远程开标会。(本工程采用远程不见面交易模式)。

注:本项目采用远程不见面交易模式,通过不见面交易系统及相应的配套硬件设备(摄像头、话筒、麦克风等)完成远程解密、评标办法与系数抽取、开标现场异议及回复、开标唱标、等交互环节。相关要求和说明如下:

1、远程开标项目的时间均以国家授时中心发布的时间为准;

2、开标当日,投标人不必抵达开标现场,仅需在任意地点通过连云港市不见面交易系统参加开标会议;

3、投标文件递交截止时间前,招标人提前进入连云港市不见面交易系统,播放测试音频,各投标人的授权委托人(必须是项目负责人)提前进入不见面交易系统,根据操作手册进入相应标段的开标会议区收听观看实时音视频交互效果并及时在讨论组中反馈,未按时加入开标会议区并完成登录签到操作的或未能在开标会议区内全程参与交互的,视为放弃交互和放弃对开评标全过程提疑的权利,投标人将无法看到解密指令、异议回复、唱标等实时情况,并承担由此导致的一切后果;

4、投标文件递交截止时间后,招标人将在系统内公布投标人名单并核验投标保证金递交情况,然后通过开标会议区发出投标文件解密的指令,投标人在各自地点按规定时间自行实施远程解密,投标人解密限定在发出投标文件解密的指令后30分钟内完成。因投标人网络与电源不稳定、未按操作手册要求配置软硬件、解密锁发生故障或用错、故意不在要求时限内完成解密等自身原因,导致投标文件在规定时间内未能解密、解密失败或解密超时,视为投标人撤销其投标文件,系统内投标文件将被退回;因网上招投标平台发生故障,导致无法按时完成投标文件解密或开、评标工作无法进行的,可根据实际情况相应延迟解密时间或调整开、评标时间(友情提示:若投标人已领取副锁(含多把副锁)请注意正副锁的使用差别)。本项目在限定的解密时间内,只要有一家投标人解密成功,即视为网上招投标平台运行无故障。

5、为顺利实现本项目开评标的远程交互,建议投标人配置的硬件设施有:高配置电脑、高速稳定的网络、电源(不间断)、CA 锁、音视频设备(话筒、耳麦、高清摄像头、音响)、扫描仪、打印机、传真机、高清视频监控等;建议投标人具备的软件设施有:IE 浏览器(版本必须为11 及11 以上),江苏省互联互通驱动。为保证交互效果,建议投标人选择封闭安静的地点参与远程交互。因投标人自身软硬件配备不齐全或发生故障等问题而导致在交互过程中出现不稳定或中断等情况的,由投标人自身承担一切后果。

6、投标人必须在当日开标时间前进行签到,否则无法参与后续开标过程,投标人在签到时,需填写联系人姓名、手机号码(手机号码务必能打通,否则答疑联系不上,产生的所有后果由投标人自行承担)。

6. 踏勘现场和投标预备会

招标人不统一组织踏勘现场和投标预备会。投标人根据需要自行踏勘现场,所产生的费用自理,安全责任由投标人负责。

7.评标标准和方法

条款号

评审因素

评审标准

2.2.1

分值构成

(总分100分)

投标报价: 50分

施工组织设计: 44分

企业业绩:6分

2.2.2

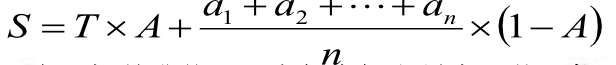
评标基准价计算方法


S 为评标基准价,T 为每个标段最高限价(投标价高于最高限价作无效标处理),A 为权重系数,取 0.6、0.65、0.7 三者选一,由招标人代表现场抽取确认;有效标 n>5 时, a1 . . . an  为剔除投标人最高报价和最低报价的20%(四舍五入,取整)后的各投标报 价,n≤5 时,无需剔除。)

报价低于最高限价的85%不参与评标基准价计算。

最高投标限价如下:人民币8398404.93元

特别规定:评标委员会在评标报告上签字确认后,评标基准价不因为质疑、投诉、复审等情形而改变(纠正评标委员会计算错误的除外)

投标报价

(50分)

投标价(算术修正后,下同):在评标基准价的 100%-98%(含 100%、98%)得满分 50 分,并以此为基数,进行下面各项的打分;

低于 98%,每低 1 个百分点,在 50 分的基础上扣 0.6 分;

高于 100%的,每高 1 个百分点,在 50 分的基础上扣 0.9 分。

中间按内插计算。保留小数点后 2 位数字,小数点后第三位数 字“ 四舍五入 ”。最低得分为零分。

2.2.3(2)

 

施工组织设计

(44分)

(1)施工现场布置和临时设施(4.0 分):现场布置合理 2.0 分;临时设施设计合理 2.0 分。有缺陷,酌情扣分,最少得0分。

(2)施工进度计划合理,工期保证措施可行(4.0

分):计划合理 2.0 分;措施可行,有工期计划网络图或横道图 2.0 分。有缺陷,适当扣分,最少得 0分。

(3)施工机具设备及劳动力配置合理,能满足施工强度要求(4分):施工机具配置合理2分,有缺陷,适当扣分,最少得0分;劳动力配置合理2分, 有缺陷,适当扣分,最少得0分。

(4)工程专业技术人员配置合理(3.0分):工程专业技术人员(施工员、质检(量)员、安全员、材料员、资料员)配备齐全并有相应证书3.0分(不重复计分,不得一人身兼多职),缺少1个人员扣0.6分,最低得0分。

(5)混凝土生产、浇筑工艺及组织合理,能满足施工需要并能保证混凝土内外质量,有特殊要求部位方案合理,措施可行(5分):有缺陷,适当扣分;不合理、不满足需要,得0分。

(6)砌体及垫层施工工艺合理、质量有保证(5分):有缺陷,适当扣分,最少得0分。

(7)设备采购质量控制措施可行、安装质量有保证、调试等符合规范、规定要求(2分):有缺陷,适当扣分,最少得0分。

(8)质量保证措施(5分):质量保证体系健全、方案可行、措施得力,得5分。有缺陷,适当扣分,最少得0分。

(9)安全文明生产、环境保护(6分):安全文明生产措施有保证得3分;有缺陷,适当扣分,最少得0分;环境保护措施可行得3分,有缺陷,适当扣分,最少得0分。

(10)关键施工技术、工艺及工程项目实施的重点、难点和解决方案(6分):投标人针对本项目关键施工技术的难点、重点的分析及针对性合理化建议(措施)的科学性、可行性、全面性、针对性及有效性等。优:6分、良:3分、一般:1分,未提供不得分。

注:投标人在编制施工组织设计时,内容要简单明了,具备针对性;为方便评委评审,施工组织设计篇幅不得超过120页,超过120页的扣2分。

2.2.3(3)

企业业绩

(6分)

1、投标人在2021年1月1日至今,有承担过单项合同额不少于600万元的类似业绩(高标准农田建设项目或节水灌溉项目任意一项),每承担一个得3分,本项最多得6分。

注:时间以合同签订时间为准,需同时提供中标通知书、施工合同、竣工验收或完工验收证明(三项缺一不可)原件扫描件上传至电子投标文件中,提供的证明材料必须能清晰的表明类似工程的投标人名称、合同内容、合同金额、时间等需要明示的内容,否则不予认可。资格审查业绩和评分项业绩不重复计取。

评标办法前附表

8、组建项目部

中标单位签订合同3日内,提交开工申请资料,10日内必须组建项目部并开工建设, 10 日内未组建,招标人有权清退中标单位,造成的一切后果均由中标单位承担。投标文 件中所列主要管理人员(项目经理、技术负责人、专职安全员)必须驻场。

9、其他注意事项:

1.本次招标要求网络上传投标文件,不再要求投标人准备纸质文件。中标单位在领取中标通知书时需提供整套投标文件正本一份,副本四份,电子文档壹份(U盘)。

2.投标截止时间前完成网上投标文件上传。

3.电子标书制作:投标人请到连云港市公共资源交易网“投标人登入”栏下载投标文件制作工具,并下载CA锁驱动、CAD控件等应用程序,用于打开招标文件并制作投标文件。

国泰新点和广联达招投标文件制作工具均已衔接连云港市公共资源交易招投标系统平台,投标人可自行选择使用。投标过程中遇到软件问题可联系相应软件公司寻求技术支持。

联系方式如下:

软件公司名称

联系人

联系电话

广联达

郑磊

13812332568

刘书丹

18651253807

 

国泰新点

黄桂松

15896100880

朱家旺

18905137238

张海南

18505182641

注:本次招标文件采用最新制作工具进行制作,投标人务必采用最新制作工具进行制作,投标单位制作投标文件时如遇投标工具中投标格式与招标文件不一致,请投标单位按照招标文件中投标格式要求编制一份投标文件添加在投标工具的【投标其他文件】中。如因投标人未按要求执行造成的一切后果(包括废标)均由投标人自行承担。

7608a6d2-c013-4333-a616-22e4a49ee562

10、发布公告的媒介

本次招标公告同时在江苏省招投标公共服务平台、连云港市公共资源交易中心网上同时发布。

11、联系方式

招标人名称:赣榆区黑林镇人民政府

地址:赣榆区黑林镇尚林路1号 

联系人:谷主任  

电话:18352132228

招标代理机构:江苏博茂项目管理有限公司

地址:连云港市海州经济开发区朐凤路116号润连智造中心

联系人:于工             

电 话:13675293742

连云港市电子化招投标注意事项

注意事项:如果您是第一次在连云港地区进行网络投标(网络系统7.0版),请您先联系江苏CA公司和江苏翔晟办理网络投标密码锁和企业电子签章,然后联系国泰新点软件公司进行密码锁的激活,用密码锁登陆相关网站会员系统进行诚信信息库的操作,以上步骤不进行或操作不完善,可能导致无法进场交易。

连云港市公共资源交易中心地址:连云港市海州区凌洲东路9号3号楼

中国金融认证中心地址:

连云港市海州区凌州东路9号政务服务中心3号楼一楼大厅CFCA窗口

江苏省国信数字科技有限公司地址:

连云港市海州区凌州东路9号政务服务中心3号楼一楼[国信CA]窗口

密码锁激活:

登录网站:连云港市公共资源交易网

公司名称

联系人

联系电话

新点软件

黄桂松

朱加旺

张海南

15896100880

15161373079

18505182641

广联达

郑磊

刘书丹

13812332568

18651253807

中国金融认证中心

CA名称:CFCA

孙丽丽

耿立珍

公司客服

18005133017

(微信同号)

17751872787

(微信同号)

4001662366

江苏省国信数字科技有限公司

CA名称:国信CA

周梦雪

魏飞

15298603303

18261319191

客服电话:4000251010

 

本项目招标公告及招标文件经招标人及监管部门审核,同意发布。

 

           招标人盖章:                          监管部门盖章:

           项目负责人签字:                      项目负责人签字:

 

 

 

 

 

附件:
63e626f7-f476-4c6b-aa8a-ec96c41fdf0a