【信息发布时间:2024-10-21 14:20 阅读次数:】 【我要打印】 【关闭】
2024年度连云港市海州区板浦镇高标准农田改造提升项目(财政补助)已经连云港市农业农村局以连农复(2024)255号文批准建设,建设资金已落实。项目已具备招标条件,现对该项目2024年度连云港市海州区板浦镇高标准农田改造提升项目(财政补助)进行公开招标,招标人为连云港市海州区板浦镇人民政府,招标代理机构为连云港上和工程咨询有限公司。
2024年度海州区高标准农田建设项目实施地点位于连云港市海州区,共涉及2024年度海州区新坝镇高标准农田建设项目、2024年度海州区浦南镇高标准农田建设项目、2024年度海州区板浦镇高标准农田建设项目共三个标段。
本次招标为2024年度海州区板浦镇高标准农田建设项目,工程总投资额约1652万元,具体详见招标文件及工程量清单,主要建设内容如下:
新建泵站6座;衬砌防渗渠13.06km;维修农桥1座;新建水闸64座;新建渡槽1座;涵洞193座等(具体详见图纸及工程量清单);本项目实施地点为海州区板浦镇。
符合资格条件的投标人可对2024年度海州区高标准农田建设项目一个或多个标段进行投标报名,但最多只能中一个标段。
本工程的开评标顺序按1、新坝镇 2、板浦镇 3、浦南镇进行开评标。
如果投标人已在先评的某个标段中已确定为第一中标人候选人,在后续标段中将不再参与中标候选人推荐,若第一中标候选人被投诉,经查实取消中标资格,招标人可以按照评标委员会提出的中标候选人名单排序依次确定其他中标候选人为中标人,也可以重新招标。
工期:具体开工时间以监理工程师签发的开工令为准,签发开工令后180天内完成全部合同建设内容。
质量标准:国家、省现行农业项目验收规定和水利工程相关规范、规定及规程要求的合格标准。
3.1投标人须具有水利水电工程施工总承包叁级及以上资质,具有省、部级建设行政主管部门颁发的安全生产许可证的企业法人、企业基本户开户许可证或者企业基本存款账户信息证明;
3.2投标人拟任本项目的负责人须具备水利水电工程专业二级及以上(含二级)注册建造师资格;
3.3投标人拟任本项目的技术负责人须具有工程类专业中级及以上职称;
3.4投标人法定代表人(A类)、拟任项目经理(B类)、拟任专职安全员(C类)具有有效的行政主管部门颁发的安全生产考核证书且在有效期内;
3.5拟投入本工程的项目负责人(项目经理)、技术负责人及专职安全员必须为本单位正式职工,提供劳动合同(有效期内)同时提供2024年03月至2024年08月连续6个月及以上(在本单位缴纳)由社保机构出具的社保缴纳证明(加盖社保中心章或社保中心参保缴费证明电子专用章)等证明材料;
3.6本工程执行江苏省住房和城乡建设厅《关于开展建筑业企业资质动态监管工作的公告》【2018】第6号及连建发(2019)182号文:投标企业参加建设工程投标前,应自觉、主动查验本企业资质动态监管情况,核查结果不合格的,不得参加投标。若投标有效期内企业资质核查不合格,招标人将取消其中标资格,并重新确定中标人。对于弄虚作假的企业,将按规定记录失信行为,并取消其投标、中标资格,不予退还投标保证金。
3.7投标人承诺书(详见招标文件第八章投标文件格式8.1、8.2、8.3、8.4、8.5等承诺,详见格式)。
3.8本次招标不接受联合体投标。
3.9其他要求:
3.9.1不拖欠农民工工资书面承诺(招标文件规定的格式);
3.9.2本工程招标工作遵照苏建建管【2013】508号文、苏建招函【2015】16号文、苏建规字【2017】 1 号、连建发【2021】338号、连建发【2021】336号文。投标人企业、法定代表人及项目负责人无行贿犯罪记录、项目负责人无在建工程、投标人无挂靠行为等采用信用承诺方式由投标人自行承诺,承诺内容包括:对自身的信用状况、申请材料的真实性以及对违约责任做出书面承诺。(格式详见“投标人承诺书”)
在建工程是指:处于中标结果公告(直接发包的项目以网上合同备案为准)到合同约定的工 程全部完成且竣工验收合格期间的工程。竣工验收证明是指由建设单位(或监理)组织工程建设各方验收合格,并签署相应的单位工程质量竣工验收记录或者分部工程质量验收记录等验收文件。
3.9.3投标企业整个招投标活动所提交的所有材料都必须是真实有效的,一旦发现有虚假行为,招标人将立即中止该投标人的投标活动,并上报相关主管部门追究责任。3.9.4本工程参照执行苏信用办【2018】23号“关于印发《关于在公共资源交易领域的招标投标活动中建立对失信被执行人联合惩戒机制的实施意见》的通知",以“信用中国”公布的“失信惩戒”查询对象模块的信息为准。
3.9.4本次招标实行资格后审,资格审查的要求见招标文件。资格后审不合格的投标人投标文件将按否决投标处理。
1、招标文件获取时间为:2024年 10 月 21 日至2024年 10 月 28 日;
2、获取方式:投标单位进入“连云港市公共资源交易网”, 通过CA证书登录【交易平台】—【综合交易】—【投标人】,进入“交易乙方”,在“招标文件下载”中,进行所参加项目“信息录入”、“下载招标文件”,具体流程详见下载专区“综合交易投标人操作手册”;没有按规定在网上完成“信息录入”、“下载招标文件”投标单位,其投标文件将被拒收,由此造成的不利后果由投标单位自行承担。【操作系统具体事项联系技术服务电话:4009980000;于工18505182641】;
3、本项目招标文件售价: \ 元人民币,请在招标文件下载截止时间前下载文件。(提醒:请投标申请人务必在规定截止时间前获取招标文件,否则将导致投标失败!)
4、如果您是第一次在连云港地区进行网络投标,请您先联系江苏CA公司办理网络投标密码锁和企业电子签章,然后联系国泰新点软件公司进行密码锁的激活,用密码锁登陆连云港市公共资源交易网站会员系统进行诚信信息库的操作,以上步骤不进行或操作不完善,可能导致无法进场交易。
5.1 投标截止时间为:2024年11月01日15时00 分。
5.2递交地点:投标人自行选择任意地点参加远程开标会。(本工程采用远程不见面交易模式)。
注:1、投标人开标前完成网上投标文件上传,本项目采用不见面方式开标。
2、电子标书制作:投标人请到连云港市公共资源交易平台综合交易新投标人处下载投标文件制作工具,用于打开招标文件并制作投标文件
3、为落实省级相关部门不见面开标交易模式,本项目须在2024年10月31日15点00分完成不见面开标程序。各投标单位在报名前应慎重考虑并确保在招标文件规定的时间完成投标文件。
4、为顺利实现本项目开评标的远程交互,建议投标人配置的硬件设施有:高配置电脑、高速稳定的网络、电源(不间断)、CA锁、音视频设备(话筒、耳麦、高清摄像头、音响)、扫描仪、打印机、传真机、高清视频监控等;建议投标人具备的软件设施有:IE浏览器(版本必须为11及11以上),江苏省互联互通驱动。为保证交互效果,建议投标人选择封闭安静的地点参与远程交互。因投标人自身软硬件配备不齐全或发生故障等问题而导致在交互过程中出现不稳定或中断等情况的,由投标人自身承担一切后果。
1评标入围方法:
1.1、评标入围合格条件
投标文件存在下列情况之一的,不再进行后续评标:
(1)至投标截止时间止,未足额递交投标保证金;
(2)投标函中载明的招标项目完成期限超过招标文件规定的期限;
(3)投标函中载明的投标质量标准未响应招标文件的实质性要求和条件;
(4)投标函中载明的投标报价高于招标控制价。
开标后初步评审前,由评标委员会根据招标文件载明的评标入围合格条件,确定进入后续评标或评标入围的投标文件。
1.2、评标入围方法:全部入围法。
进入评标入围环节的投标人全部进入后续评标程序。
2、评标方法
3、本次招标采用合理低价法,仅以投标报价作为评审因素。评分计算过程中的偏离率和分值计算结果均保留2位小数,小数点后第三位数字“四舍五入”。投标人的投标文件能够满足招标文件的实质性要求,评标委员会在有效投标中按照评标价得分由高到低的顺序,向招标人推荐1至3名中标候选人,并标明排序。评标委员会在推荐中标候选人时,如因投标人的评标价、综合得分相同而影响排序,原则上综合得分相同的应以评标价较低的优先,评标价相同及其它情形应以招标人的法定代表人或授权委托人出席(需携带授权委托书原件及身份证原件)通过交易中心现场的摇号机随机抽取确认排序。
投标报价评审,评分方法如下:
商务标实行评分制,得分最高的投标人为第一中标候选人。经评审的投标报价得分采用百分制,即满分为100分。
(1)评标价每高于基准价1%的,扣减0.9分,不足1%的,按照插入法计算;
(2)评标价每低于基准价1%的,扣减0.6分,不足1%的,按照插入法计算。
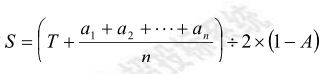
评标基准价的计算:
本工程评标基准价为
T为每个标段最高限价(投标价高于最高限价作废标处理),A为下浮系数,取1.0%、1.5%、2.0%三者选一,由招标人的法定代表人或授权委托人出席(需携带授权委托书原件及身份证原件)通过交易中心现场的摇号机随机抽取确认;n为有效标数量,当有效标n>10时,
为去掉评标价最高5%(四舍五入取整 ,末位评标价相同的均去掉)和评标价最低5%(四舍五入取整 ,末位评标价相同的均保留)后的各投标单位评标价,有效标n≤10时,无需剔除。)
说明:有效投标文件是指未被评标委员会判定为无效标的投标文件。评标价指经澄清、补正和修正算术计算错误的投标报价。除确认计算存在错误外,评标基准价不因招投标当事人质疑、投诉、复议以及其它任何情形而改变。
3、报价的平衡性、合理性
若投标人的主要分组投标价超出最高限价相应分组价(±10%)(其中砼道路报价只能下浮,不能上浮,若发现上浮,作废标处理),其他每发现一项,在报价得分的基础上扣1.0分;发现二项,在报价得分的基础上扣2.0分;以此类推。
本次招标公告在连云港市公共资源交易中心网上发布。
九. 联系方式
招标人:连云港市海州区板浦镇人民政府
联系人:梁主任
联系电话:13961350233
招标代理机构:连云港上和工程咨询有限公司
地 址:连云区连云新城广州路88号国际商务中心5楼
联 系 人:张工
电 话:0518-85588595
邮 箱:lianyungangshanhe@126.com
本项目招标公告及招标文件经招标人及监管部门审核,同意发布。
2024年10月21日