首页 > 交易信息 > 其他行业 > 招标公告

[招标公告]关于2023年度新安镇于圩村高标准农田补建项目的公告

【信息发布时间:2024-11-13 15:46  阅读次数:】 【我要打印】 【关闭】

 2023年度新安镇于圩村高标准农田补建项目

1. 招标条件

2023年度新安镇于圩村高标准农田补建项目已经灌农发(2024)84号文件批复。建设资金来源为财政资金,已落实。2023年度新安镇于圩村高标准农田补建项目,招标人为灌南县新安镇人民政府,招标代理为北京建智达工程管理股份有限公司。按照《中华人民共和国招标投标法》及相关法律、法规规定,项目已具备招标条件,现对该标段工程施工进行公开招标。

2. 项目概况与招标范围

2.1项目建设地点:工程位于灌南县新安镇于圩村。

2.2招标范围:(1)灌溉和排水工程:拆建1座泵站,新建1座泵站,分别为于圩补给泵站(300QSZ*18.5kW,单机组)和陈圩站(400QSZ-37kW,单机组);衬砌渠道4.76km,其中拆建梯形斗渠1(B=1.7m,b=0.5m,h=0.95m)1.78km,拆建梯形农渠1(B=1.5m,b=0.45m,h=0.85m)2.97km,拆建矩形渠1(B1=1.0m,B1=1.0m)0.015km;新建农桥56座,其中中沟桥(2×8.0m,B=5.7m,L=22m)2座,中沟桥(1跨×10m,B=4.7m,L=16m)1座,梯形渠渠桥1(L=1.7m)20座,梯形渠渠桥2(L=1.5m)33座;拆建箱涵(1.0mX1.0m X8m长)1座,涵洞(φ100*8m 带节制)1座,新建农门(φ60x18m带路面)1座,农门(φ60x12m 带路面)2座,新建农门(φ60x18m 带路面)1座,新建放水口96座。(2)田间道路工程:新建水泥路2.07km,其中3.5m宽水泥路2.07km,会车平台51m2,交叉路口75m2。具体建设内容详见施工图纸及工程量清单。

注:排名第一的中标候选人放弃中标、因不可抗力不能履行合同、不按照招标文件要求提交履约保证金,或者被查实存在影响中标结果的违法行为等情形,不符合中标条件的,招标人可以按照评标委员会提出的中标候选人名单排序依次确定其他中标候选人为中标人,也可以重新招标。

2.3招标控制价:3317869.10元,投标报价高于招标控制价的作无效标处理。

2.4工期:180日历天完成全部建设内容,具体开工时间以监理工程师签发的开工令为准,完工日期以单项工程四方验收时间为准(若受财政资金无法到位等原因影响,项目不能停工,不得影响群众农时,施工矛盾由中标单位处理)。

2.5工程质量:国家、省现行高标准农田项目验收规定和相关规范、规定及规程要求的合格标准。

3. 投标人资格要求

(1)投标人有独立订立合同的能力,具有有效的营业执照及企业基本账户《开户许可证》(或基本存款账户信息材料)。

(2)投标人具有水利水电工程施工总承包三级及以上资质(有效的),且具有安全生产许可证(有效的)。

注:关于企业安全生产许可证,执行省住建厅【2023】11 号公告,建筑施工企业安全生产许可证电子证照启用全国一体化政务服务平台标准,旧版电子证照同时废止,请本次参与投标的企业提供最新且有效版本。

(3)投标人拟任的项目负责人须具备水利水电工程专业二级及以上注册建造师资格(有效的),投标人确定的项目负责人须全程参与招投标过程(含异议、投诉)。

(4)投标人拟任的项目技术负责人具备工程类中级及以上技术职称。

(5)投标人法定代表人(A类)、拟任项目负责人(B类)、拟任专职安全员(C类)具备安全生产考核合格证书(有效的)。

(6)要求提供拟投入本工程的项目负责人、技术负责人、专职安全员与投标人签订的有效劳动合同及在本单位投标截止日前3个自然月中的任意一个月社会保险缴费证明(加盖社保中心章或社保中心参保缴费证明电子专用章)。

(7)本工程江苏省住房和城乡建设厅公告【2018】6号、苏建招办【2022】2号规定。投标人在投标文件递交截止时间当日,建筑业企业资质动态监管结果不处于不合格状态的。投标人的建筑业企业资质动态监管结果由招标人在投标文件递交截止时间当日登录“江苏省建筑市场监管与诚信信息一体化平台”进行查询获取。

(8)投标人承诺书(详见招标文件第八章投标文件格式9.1、9.2、9.3、9.4等承诺,详见格式)。

1)投标人、法定代表人、项目经理无行贿犯罪记录:无行贿犯罪承诺必须反映投标人(超过3年)、法定代表人(超过5年)、项目经理(超过5年)无行贿犯罪记录。具体时间从招标公告发布之日起倒算。

 2)项目负责人无在建工程、投标人无挂靠行为等采用信用承诺方式由投标人自行承诺,承诺内容包括:对自身的信用状况、申请材料的真实性以及对违约责任做出书面承诺。

 在建工程是指:处于中标结果公告(直接发包的项目以网上合同备案为准)到合同约定的工程全部完成且竣工验收合格期间的工程。竣工验收证明是指由建设单位(或监理)组织工程建设各方验收合格,并签署相应的单位工程质量竣工验收记录或者分部工程质量验收记录等验收文件。

(9)本次招标实行资格后审,资格后审不合格的投标人投标文件将按无效标处理。(10)本工程执行《关于在公共资源交易领域的招标投标活动中建立对失信被执行人联合惩戒机制的实施意见》苏信用办(2018)23号。

(11)本项目不接受联合体投标。

(12)其他要求:

1.招标人谢绝挂靠单位参与本工程的投标。如在招投标过程中发现挂靠单位投标并中标的,将取消其中标资格,投标保证金不予退还;如发现挂靠单位报名,将取消其投标资格。

2.投标企业整个招投标活动所提交的所有材料都必须是真实有效的,一旦发现有虚假行为,招标人将立即中止该投标人的投标活动,并上报相关主管部门追究责任。

3.严格按照《保障农民工工资支付条例》(中华人民共和国国务院令第724号),苏政办发[2016]85号文、人社厅发[2017]80号文、苏人社发[2018]199号及苏人社规【2022】4号规定执行。

4. 投标报名及招标文件的获取

4.1招标文件获取时间为:2024年11月13日至2024年11月20日

4.2招标文件的获取方式:投标人使用“CA数字证书”登录“连云港市公共资源交易平台”获取;

投标单位进入“连云港市公共资源交易网”, 通过CA证书登录【交易平台】—【综合交易】—【投标人】,进入“交易乙方”,在“招标文件下载”中,进行所参加项目“信息录入”、“下载招标文件”,具体流程详见下载专区“综合交易投标人操作手册”;没有按规定在网上完成“信息录入”、“下载招标文件”投标单位,其投标文件将被拒收,由此造成的不利后果由投标单位自行承担。【投标过程中遇到软件问题可联系何工:18452501766】

4.3请在招标文件下载截止时间前下载文件。(提醒:请投标申请人务必在规定截止时间前获取招标文件,否则将导致投标失败!)

4.4未按本公告要求获取招标文件的投标人,招标人有权拒绝其投标。

特别提醒:1、如果您是第一次在连云港地区进行网络投标,请您先联系CA公司办理网络投标密码锁和企业电子签章,以上步骤不进行或操作不完善,可能导致无法购买招标文件。

2、投标过程中遇到软件问题可联系相应软件公司寻求技术支持。

软件公司名称

联系人

联系电话

 

国泰新点

黄桂松

15896100880

何工

18452501766

朱家旺

18905137238

中国金融认证中心CFCA(连云港市海州区凌州东路9号政务服务中心3号楼一楼大厅CFCA窗口)

孙莉莉

耿立珍

18005133017

17751872787

江苏省国信数字科技有限公司(连云港市海州区凌州东路9号政务服务中心3号楼一楼[国信CA]窗口)

周梦雪

魏飞

15298603303(微信同号)

18261319191(微信同号)

 

5. 投标文件的递交

5.1 投标截止时间为:2024年12月05日09时00 分。

5.2投标文件递交地点:投标人自行选择任意地点参加远程开标会。(本工程采用远程不见面交易模式)。

注:

1、投标人开标前完成网上投标文件上传,本项目采用不见面方式开标。

2、电子标书制作:投标人请到连云港市公共资源交易平台综合交易新投标人处下载投标文件制作工具,用于打开招标文件并制作投标文件。

3、为落实省级相关部门不见面开标交易模式,各投标单位在获取招标文件前应慎重考虑并确保在招标文件规定的时间完成投标文件。投标人务必采用最新制作工具进行制作,投标单位制作投标文件时如遇投标工具中投标格式与招标文件不一致,请投标单位按照招标文件中投标格式要求编制一份投标文件资料添加在投标工具的【投标其他文件】中。如因投标人未按要求执行造成的一切后果(包括废标)均由投标人自行承担。

4、为顺利实现本项目开评标的远程交互,建议投标人配置的硬件设施有:高配置电脑、高速稳定的网络、电源(不间断)、CA锁、音视频设备(话筒、耳麦、高清摄像头、音响)、扫描仪、打印机、传真机、高清视频监控等;建议投标人具备的软件设施有:IE浏览器(版本必须为11及11以上),江苏省互联互通驱动。为保证交互效果,建议投标人选择封闭安静的地点参与远程交互。因投标人自身软硬件配备不齐全或发生故障等问题而导致在交互过程中出现不稳定或中断等情况的,由投标人自身承担一切后果。

6. 踏勘现场和投标预备会

招标人不统一组织踏勘现场和投标预备会。投标人根据需要自行踏勘现场,所产生的费用自理,安全责任由投标人负责。

7. 评标办法 (综合评估法)

评委会按综合评估法进行评审。按100分对下列投标文件的主要内容进行综合打分,按综合得分从高至低顺序排列,推荐排名前3名的投标人为中标候选人。

分值构成

(总分100分)

投 标 报 价:70分

施工组织设计:27分

业绩:3分

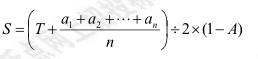
评标基准价

计算方法

 

 

 

S为评标基准价,T为每个标段最高限价(投标价高于最高限价作无效标处理),A为权重系数,取0.6、0.65、0.7三者选一,由招标人代表现场抽取确认;有效标n>5时,为剔除投标人最高报价和最低报价的20%(四舍五入,取整)后的各投标报价,n≤5时,无需剔除。)

最高限价:3317869.10元

报价低于最高限价的85%不参与评标基准价计算。

除确认存在评委评审和计算错误外,评标基准价不因招投标当事人质疑、投诉、复议以及其它任何情形而改变。

投标报价

(70分)

(1)报价分70分

投标价(算术修正后,下同):在评标基准价的100%-98%(含100%、98%)得满分70分,并以此为基数,进行下面各项的打分;

低于98%,每低1个百分点,在70分的基础上扣0.6分;

高于100%的,每高1个百分点,在70分的基础上扣0.9分。

中间按内插计算。保留小数点后2位数字,小数点后第三位数字“四舍五入”。最低得分为零分。

(2)报价的平衡性、合理性

若投标人的主要分组投标价超出最高限价相应分组价(±5%)(其中砼道路报价只能下浮,不能上浮),每发现一项,在报价得分的基础上扣1.0分。

施工组织设计

(27分)

(1)施工围堰填筑、防护,排水,措施合理、方案可行,有说明书和附图(2.0分)。有缺陷,适当扣分;有严重缺陷,方案不可行,得0分。

(2)施工进度计划合理,工期保证措施可行(2.0分)。计划合理1.0分;措施可行,有工期计划网络图或横道图1.0分。有缺陷,适当扣分,最少得0分。

(3)施工机具设备及劳动力配置合理,能满足施工强度要求(2.0分)。施工机具配置合理1.0分,有缺陷,适当扣分,最少得0分;劳动力配置合理1.0分, 有缺陷,适当扣分,最少得0分。

(4)工程专业技术人员配置合理,有相应资质证书(2.0分)。工程专业技术人员配备齐全(包括施工员、质检员、安全员、材料员、资料员,人员不得重复,不得一人身兼多职)1.5分,缺一个扣0.3分,扣完为止;技术负责人具有水利工程专业高级及以上职称0.5分。

(5)混凝土采购、运输、浇筑工艺及组织合理,能满足施工需要并能保证混凝土内外质量,有特殊要求部位方案合理,措施可行(2.0分)。有缺陷,适当扣分;不合理、不满足需要,得0分。

(6)土方挖填、调配方案合理,碾压措施得当(1.0分)。有缺陷,适当扣分;不合理、有严重失误得0分。

(7)砌体及垫层施工工艺合理、质量有保证(2.0分)。有缺陷,适当扣分,最少得0分。

(8)防渗渠施工工艺合理、质量有保证(3.0分)。有缺陷,适当扣分,最少得0分。

(9)道路、桥涵施工工艺合理、质量有保证(2.0分)。有缺陷,适当扣分,最少得0分。

(10)泵站施工工艺合理、质量有保证(1.5分)。有缺陷,适当扣分,最少得0分。

(11)设备采购质量控制措施可行、安装质量有保证、调试等符合规范、规定要求(1.5分)。有缺陷,适当扣分,最少得0分。

(12)质量保证措施(2.0分)。质量保证体系健全、方案可行、措施得力2.0分,有缺陷,适当扣分,最少得0分。

(13)对清障和地方矛盾处理有得力措施(2.0分)。对清障和地方矛盾处理有得力措施,方案可行,得2.0分。有缺陷,适当扣分,最少得0分。

(14)安全文明生产、环境保护(2.0分)。安全文明生产措施有保证1.0分;有缺陷,适当扣分,最少得0分;环境保护措施可行1.0分,有缺陷,适当扣分,最少得0分。

注:投标人在编制施工组织设计时,内容要简单明了,具备针对性;为方便评委评审,施工组织设计篇幅不得超过120页,超过120页的扣2分。

类似业绩

(3分)

1.投标人在2020年01月01日至今,有承担过单项合同额不少于200万元的类似业绩(高标准农田建设项目、农田水利项目、土地整理工程任意一项),每承担一个得1.5分,最多得3.0分。

注:1、时间以合同签订时间为准,金额以合同金额为准,需同时提供中标通知书(成交通知书或直接发包证明)、施工合同、竣工验收或完工验收证明原件扫描件上传至电子投标文件中,提供的证明材料必须能清晰的表明类似工程的投标人名称、项目负责人姓名、合同价款、时间等需要明示的内容,否则不予认可。

8、 发布公告的媒介

本次招标公告在连云港市公共资源交易网上发布。

9、联系方式

招标人:灌南县新安镇人民政府

地址:连云港市灌南县 

联系人:邵站长

联系电话:13851250702

招标代理机构:北京建智达工程管理股份有限公司

地    址:连云港海州区朝阳东路36号东盛阳光大厦29楼

联  系 人:李工 

电    话:19551334555

                                                          2024年11月13日

附件:
51819478-fb50-4e7c-aa36-a5b22357d1e1